Última actualización :
27/04/2026
Antifúngico   Amphotericin B liposomale  
Gotas oculares
Inyectables
La estabilidad de las preparaciones farmacéuticas Estabilidad en mezcla Factores que influyen sobre la estabilidad Compatibilidades Bibliografía pdf
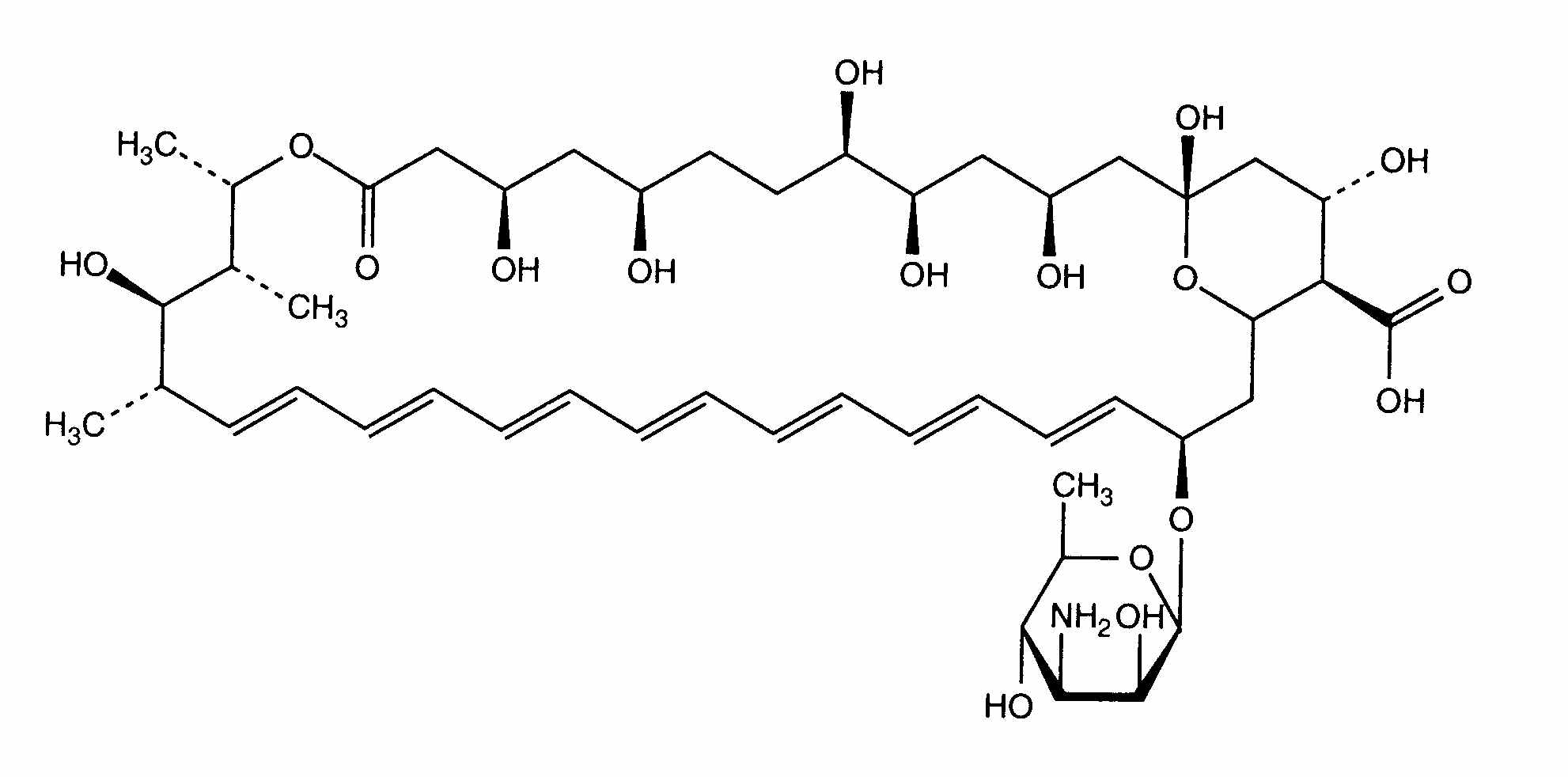
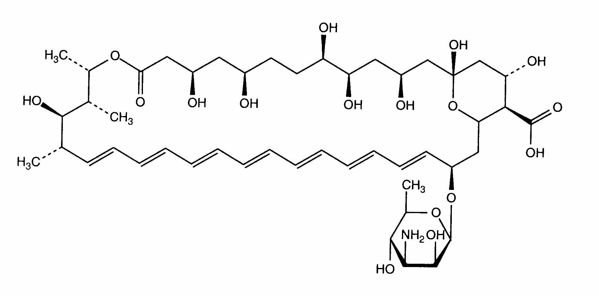
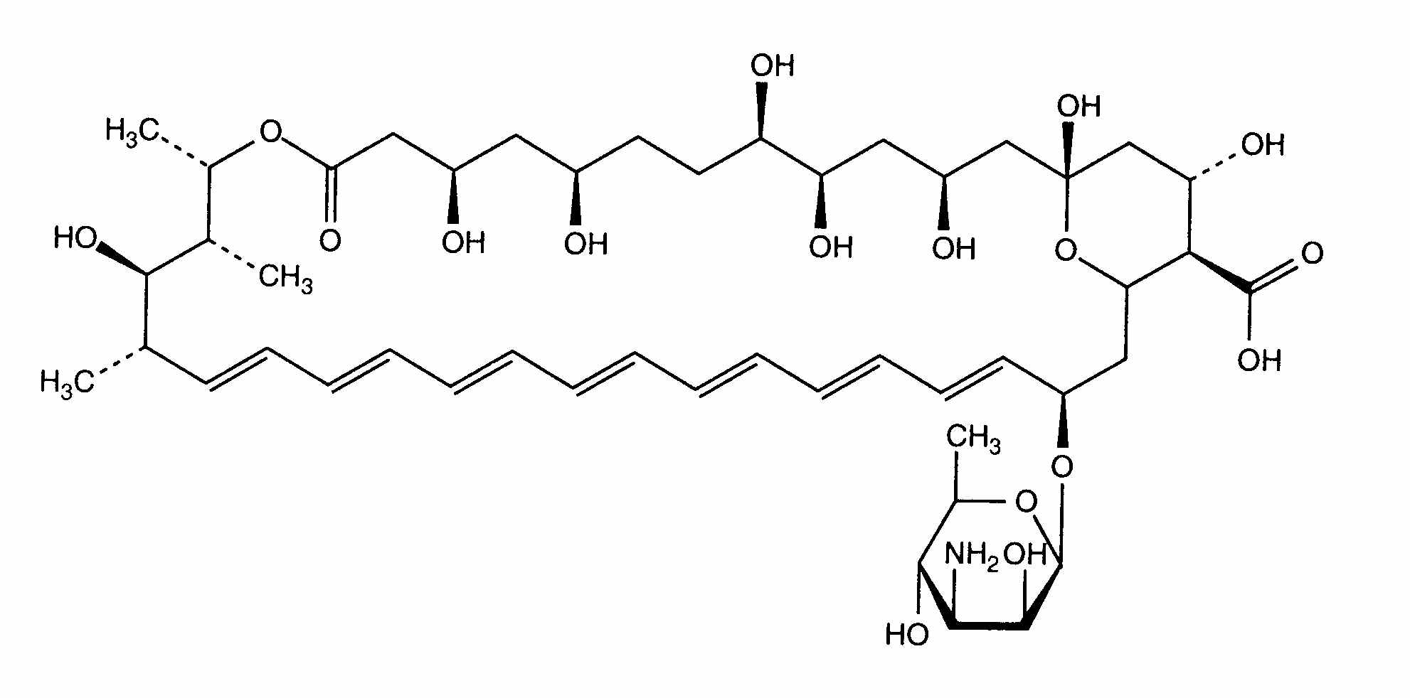
Liposoma   Estructura química  

Gotas oculares

Factores que influyen sobre la estabilidad   Gotas oculares   Factores que influyen sobre la estabilidad : Amphotericin B liposomale        
Ausencia de datos

  Mentions Légales