Posledná aktualizácia :
27/04/2026
antimykotikum   Amphotericin B liposomale  
Očná instilácia
Injekcia
Stabilita farmaceutických prípravkov Stabilita v zmesiach Faktory ovplyvňujúce stabilitu Kompatibility Odkazy na literatúru PDF
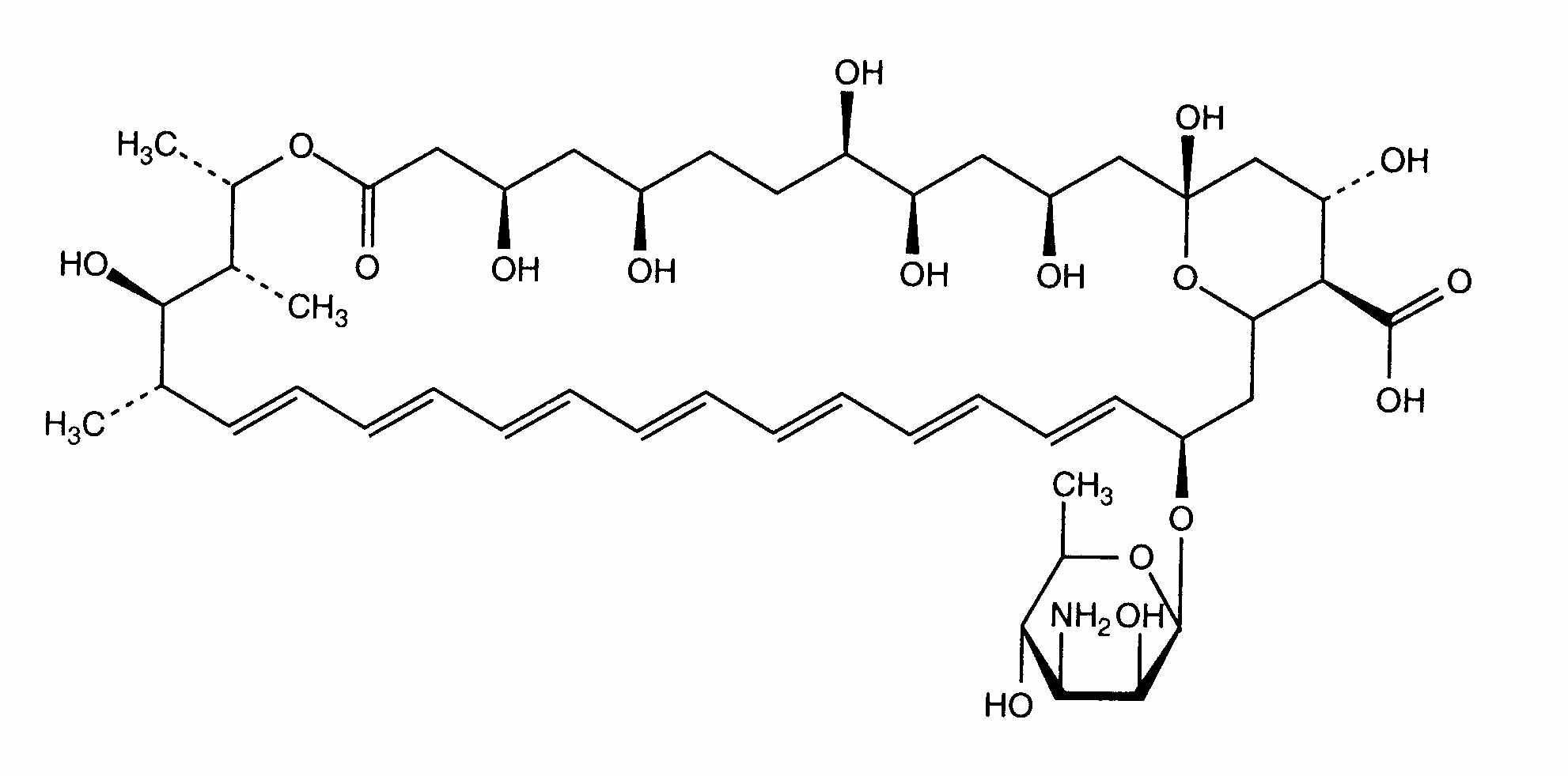
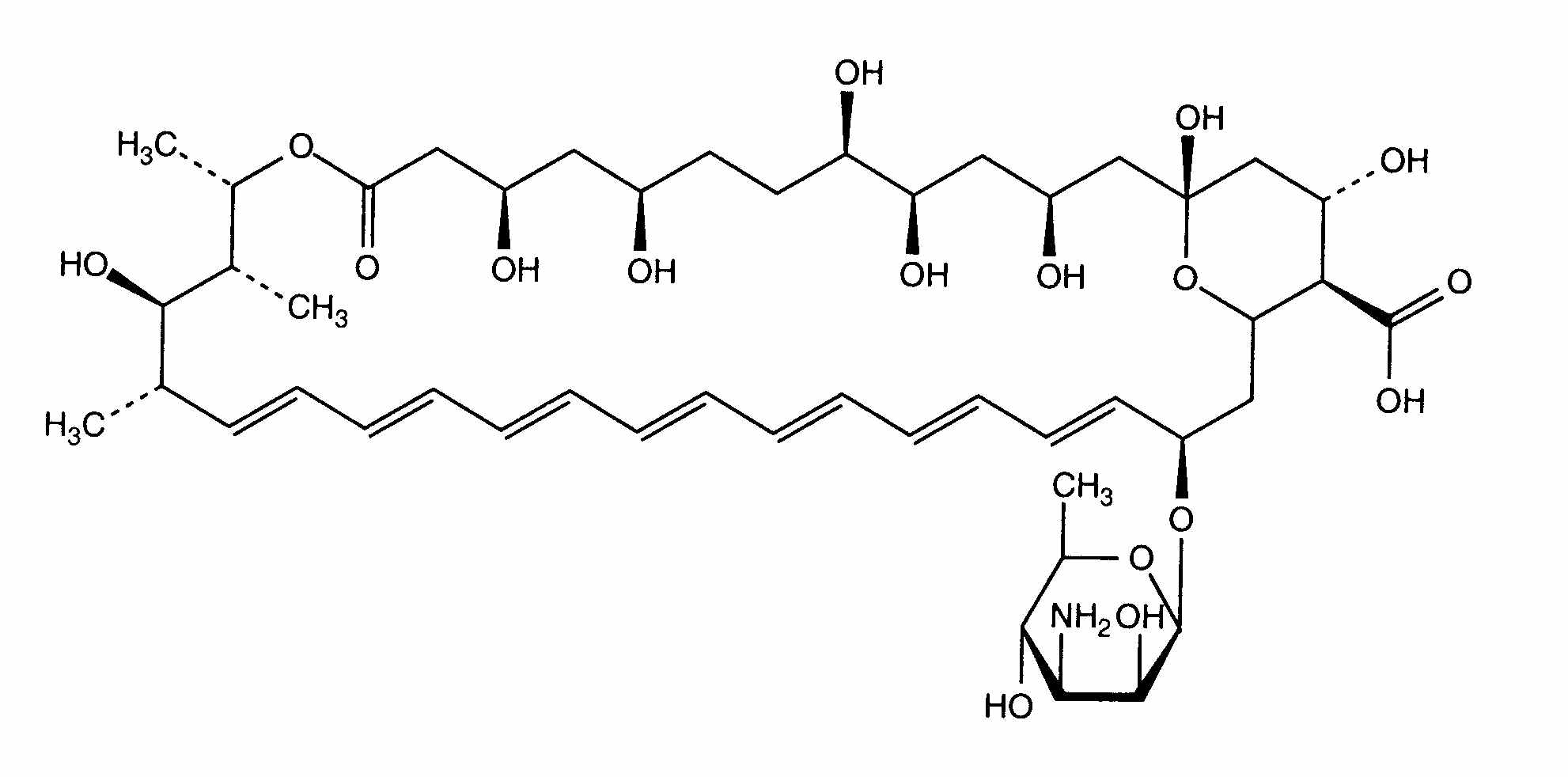
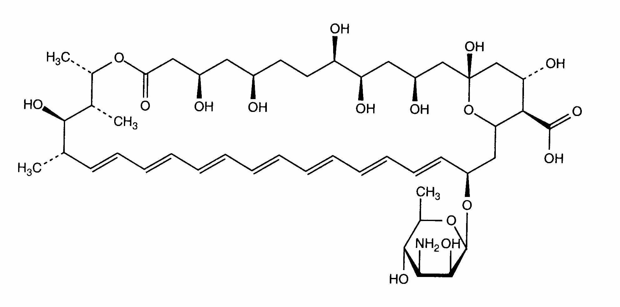
lipozóm   Chemický vzorec  

Očná instilácia

Faktory ovplyvňujúce stabilitu   Očná instilácia   Faktory ovplyvňujúce stabilitu : Amphotericin B liposomale        
žiadne údaje

  Mentions Légales