Letztes “update” :
27/04/2026
Antifungoid   Amphotericin B liposomale  
Augentropfen
Injektion
Stabilität von pharmazeutischen Präparaten Gemengestabilität Stabilitätbeeinflussende Faktoren Kompatibilitäten Literaturverzeichnis pdf
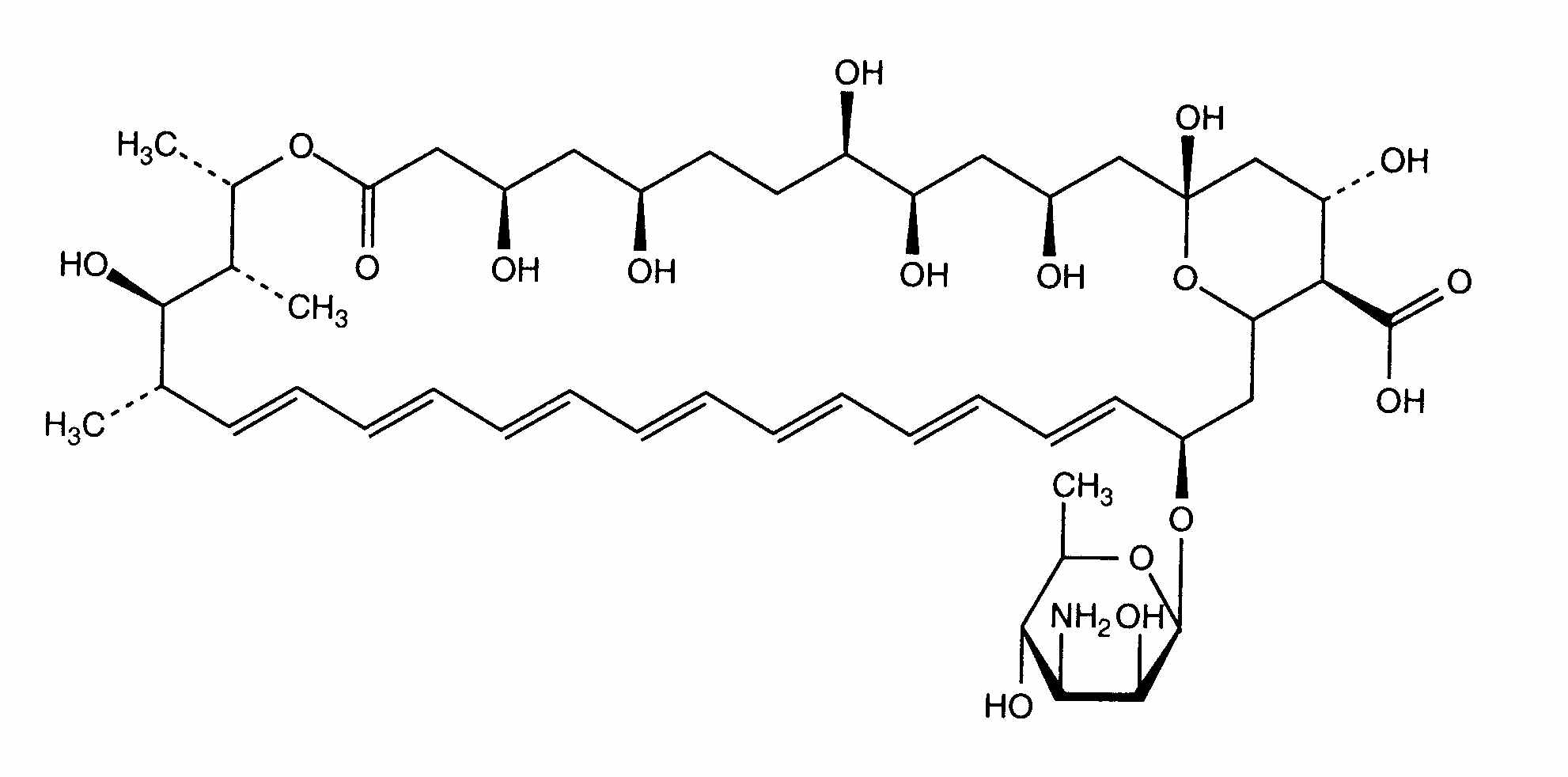
Liposom   Chemische Struktur  

Augentropfen

Stabilitätbeeinflussende Faktoren   Augentropfen   Stabilitätbeeinflussende Faktoren : Amphotericin B liposomale        
Keine Daten

  Mentions Légales