Senaste uppdateringen :
27/04/2026
Antibiotikum   Tobramycin sulfate  
Aerosol
injektion ögondroppar Oral lösning
Stabilitet av läkemedel Stabilitet i blandningar Faktorer som påverkar stabiliteten Kompatibilitet Hänvisningar pdf
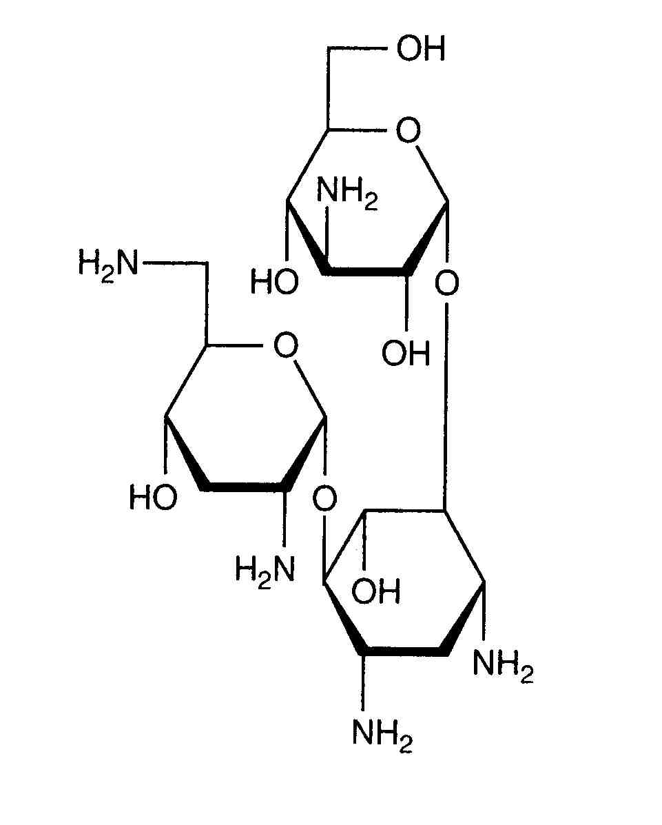
   Molekylstruktur  

Aerosol
Stabilitet av läkemedel   Aerosol   Stabilitet av läkemedel : Tobramycin sulfate     
Behållare Origine Hjälpämne Temperatur Förvaring Stabilitets varaktighet Hänvisningar
Glas injektionsflaska 2400 mg
Nebcin®
NaCl 0.45% >> 30 ml
25°C Ej angiven
195 Dag
3431
Evidensnivå A

Glas injektionsflaska 2400 mg
Nebcin®
NaCl 0.45% >> 30 ml
4°C Ej angiven
195 Dag
3431
Evidensnivå A


  Mentions Légales