Последно актуализиране :
27/04/2026
Антибиотик   Tobramycin sulfate  
Аерозол
Инжекция/Инжекционен Капки за очи Орален разтвор
Стабилност на лекарствени препарати Стабилност на смеси Фактори, повлияващи стабилността Съвместимост Библиография Pdf
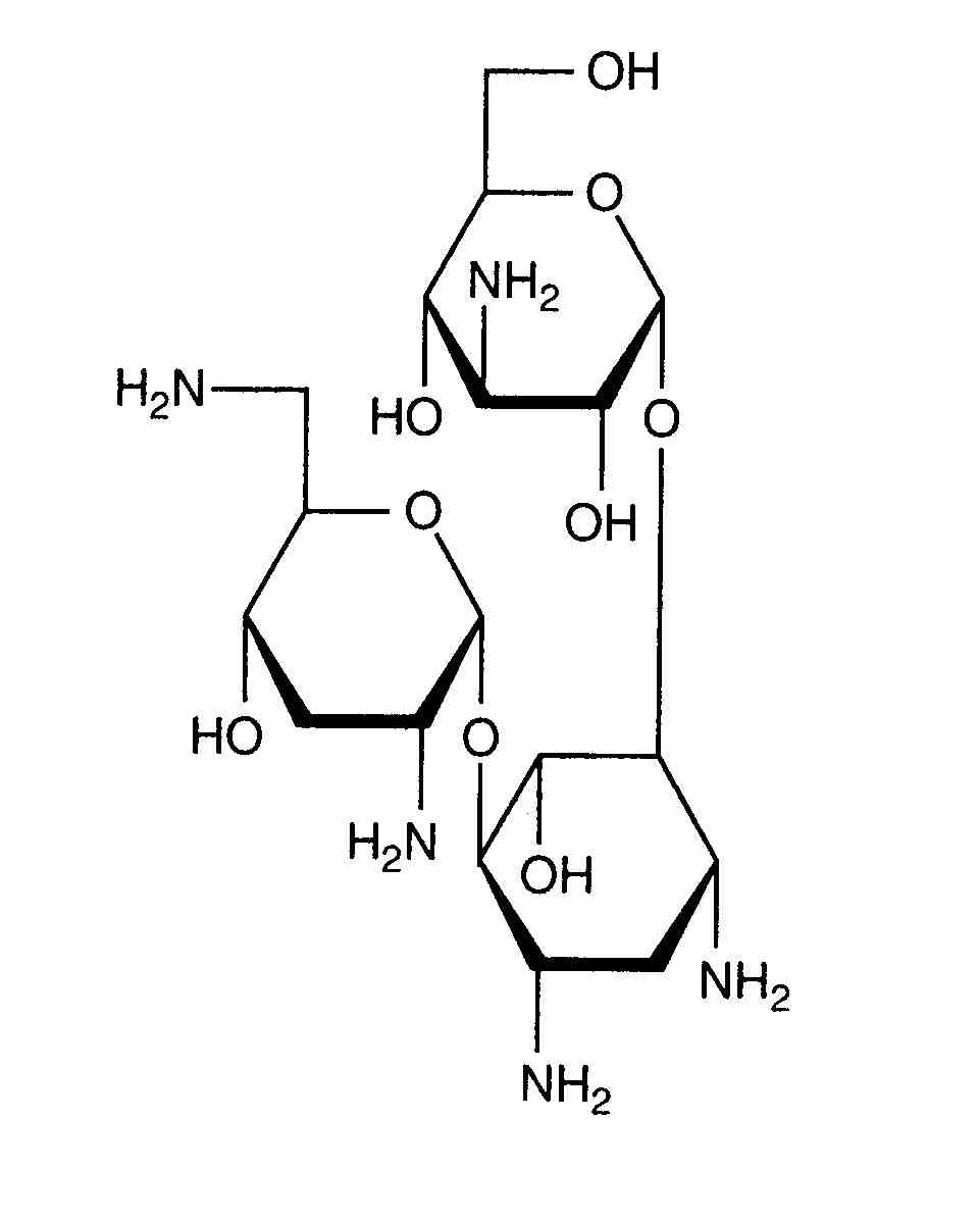
   Химична структура  

Аерозол
Стабилност на лекарствени препарати   Аерозол   Стабилност на лекарствени препарати : Tobramycin sulfate     
Контейнер Origine Помощно вещество Температура Съхранение Продължителност на стабилността Библиография
Стъкло Фпакон 2400 mg
Nebcin®
Натриев хлорид 0.45% >> 30 ml
25°C Не е уточнено
195 Ден
3431
Степен на доказаност A

Стъкло Фпакон 2400 mg
Nebcin®
Натриев хлорид 0.45% >> 30 ml
4°C Не е уточнено
195 Ден
3431
Степен на доказаност A


  Mentions Légales