Seneste opdatering :
27/04/2026
Antibiotisk   Tobramycin sulfate  
Aerosol
Injektion Oral opløsning Øjendråber
Stabilitet af farmaceutiske tilberedninger Stabilitet i blandinger Faktorer der påvirker stabiliteten Kompatibilitet Bibliografi pdf
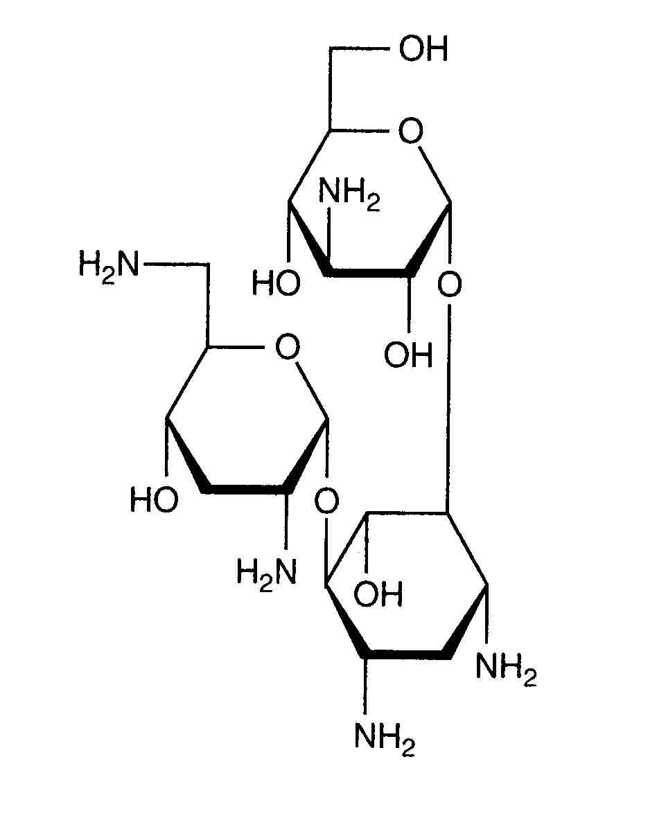
   Kemisk struktur  

Aerosol
Stabilitet af farmaceutiske tilberedninger   Aerosol   Stabilitet af farmaceutiske tilberedninger : Tobramycin sulfate     
Beholder Origine Hjælpestof Temperatur Konservering Varighed af stabilitet Bibliografi
Glas Medicinflaske til injektion 2400 mg
Nebcin®
NaCl 0.45% >> 30 ml
25°C Ikke nærmere angivet
195 Dag
3431
Level af bevismateriale A

Glas Medicinflaske til injektion 2400 mg
Nebcin®
NaCl 0.45% >> 30 ml
4°C Ikke nærmere angivet
195 Dag
3431
Level af bevismateriale A


  Mentions Légales