Last update :
27/04/2026
Antibiotic   Tobramycin sulfate  
aerosol
Eye-drops injection Oral solution
Stability of pharmaceutical preparations Stability of mixtures Factors which affect stability Compatibility References pdf
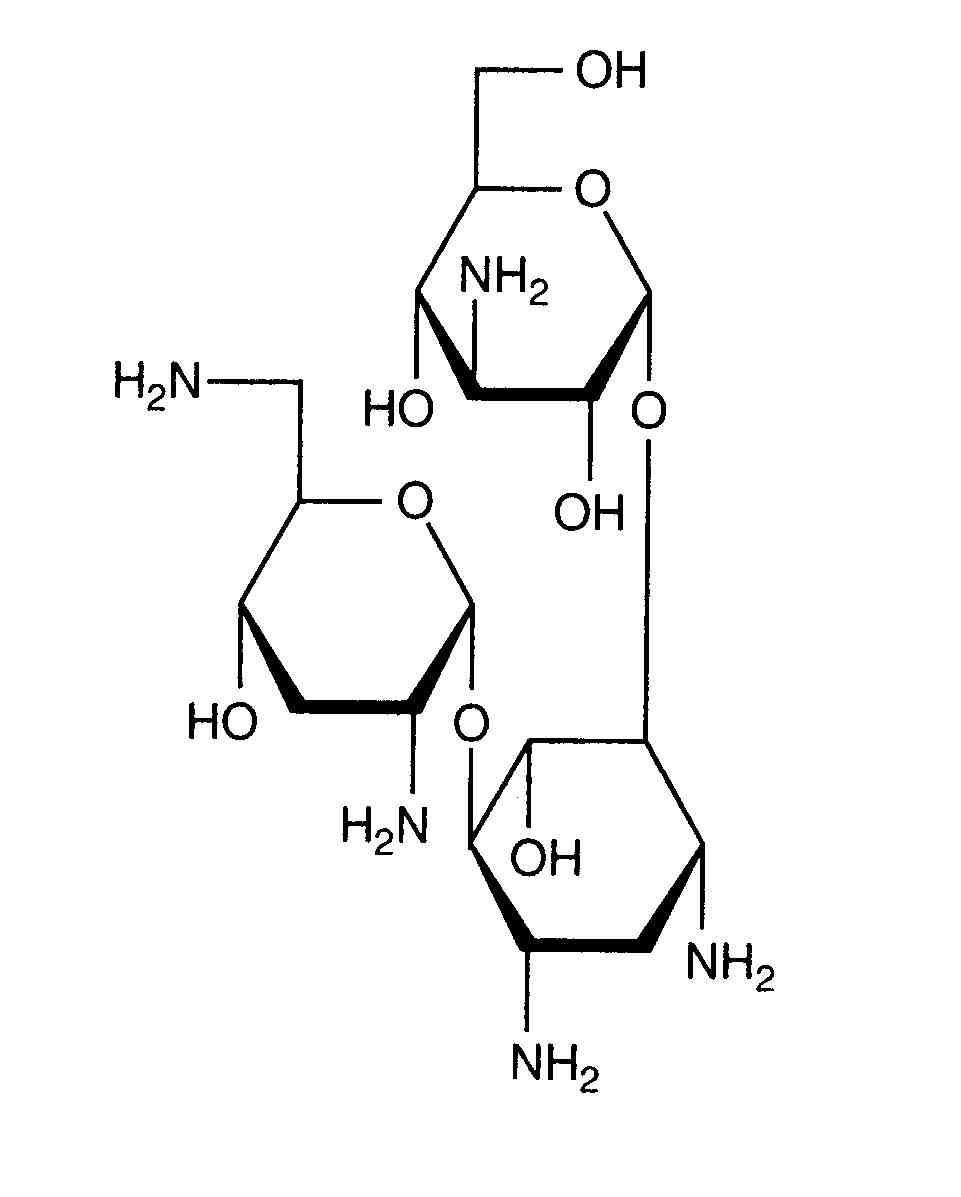
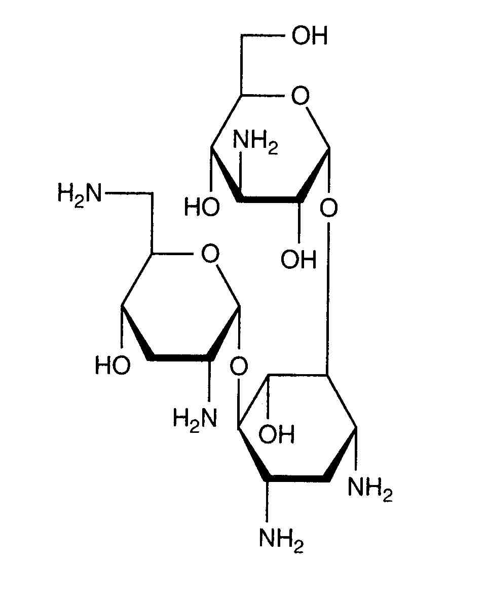
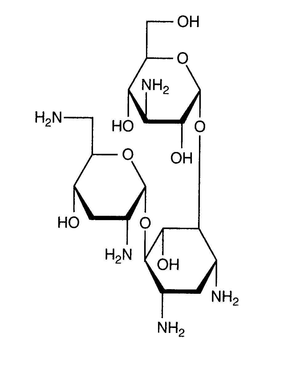
   Chemical structure  

aerosol
Stability of pharmaceutical preparations   aerosol   Stability of pharmaceutical preparations : Tobramycin sulfate     
Container Origine excipient Temperature Storage Duration of stability References
Glass Medicine bottle for injection 2400 mg
Nebcin®
NaCl 0.45% >> 30 ml
25°C Not specified
195 Day
3431
Level of evidence A

Glass Medicine bottle for injection 2400 mg
Nebcin®
NaCl 0.45% >> 30 ml
4°C Not specified
195 Day
3431
Level of evidence A


  Mentions Légales