Ostatnia aktualizacja :
27/04/2026
Antybiotyk   Tobramycin sulfate  
Aerozol
Injekcje Krople oczne Roztwór doustny
Stabilność preparatów farmaceutycznych Trwałość w mieszaninie Czynnik wpływający na trwałość Zgodność Bibliografia pdf
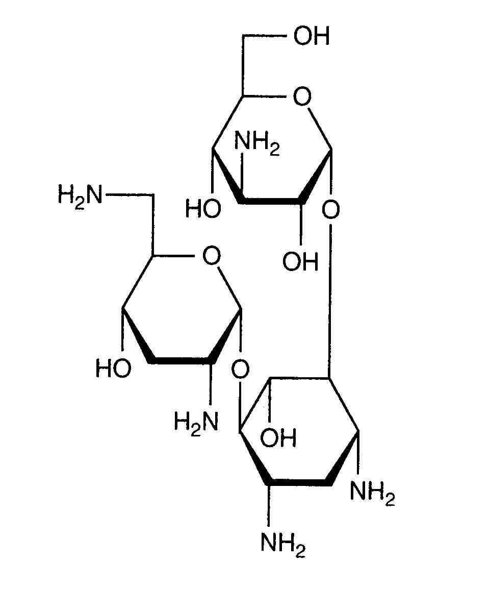
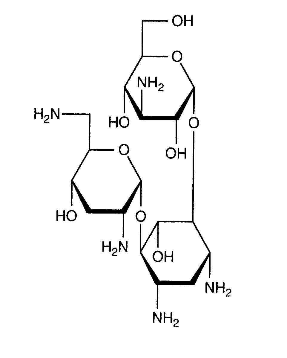
   Struktura chemiczna  

Aerozol
Stabilność preparatów farmaceutycznych   Aerozol   Stabilność preparatów farmaceutycznych : Tobramycin sulfate     
Pojemnik Origine Substancja pomocniczna Temperatura Przechowywanie Czas trwania stabilności Bibliografia
Szkło Fiolka 2400 mg
Nebcin®
NaCl 0.45% >> 30 ml
25°C Nie wyszczególniony
195 Dzień
3431
Poziom wiarygodności A

Szkło Fiolka 2400 mg
Nebcin®
NaCl 0.45% >> 30 ml
4°C Nie wyszczególniony
195 Dzień
3431
Poziom wiarygodności A


  Mentions Légales