Utolsó frissítés :
27/04/2026
Antibiotikum   Tobramycin sulfate  
aeroszol
belsőleges oldat Injekció Szemcsepp
Stabilitása gyógyszerészeti készítmények A keverékek stabilitása Stabilitást befolyásoló tényezők Kompatibilitás Irodalom pdf
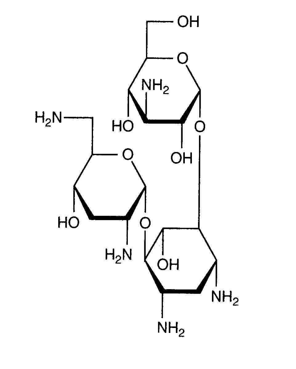
   Kémiai szerkezet   

aeroszol
Stabilitása gyógyszerészeti készítmények   aeroszol   Stabilitása gyógyszerészeti készítmények : Tobramycin sulfate     
Csomagolás Origine segédanyag Hőmérséklet Tárolás A stabilitás időtartama Irodalom
Üveg Injekcióhoz való űveg 2400 mg
Nebcin®
NaCl 0.45% >> 30 ml
25°C Nincs meghatározva
195 Nap
3431
Szintű bizonyítékot A

Üveg Injekcióhoz való űveg 2400 mg
Nebcin®
NaCl 0.45% >> 30 ml
4°C Nincs meghatározva
195 Nap
3431
Szintű bizonyítékot A


  Mentions Légales