Última actualização :
21/01/2026
antibiótico   Tobramycin sulfate  
aerossol
injetável solução oftálmica Solução Oral
Estabilidade de preparações farmacêuticas Estabilidade em misturas Factores que afectam a sua estabilidade Compatibilidade Bibliografía pdf
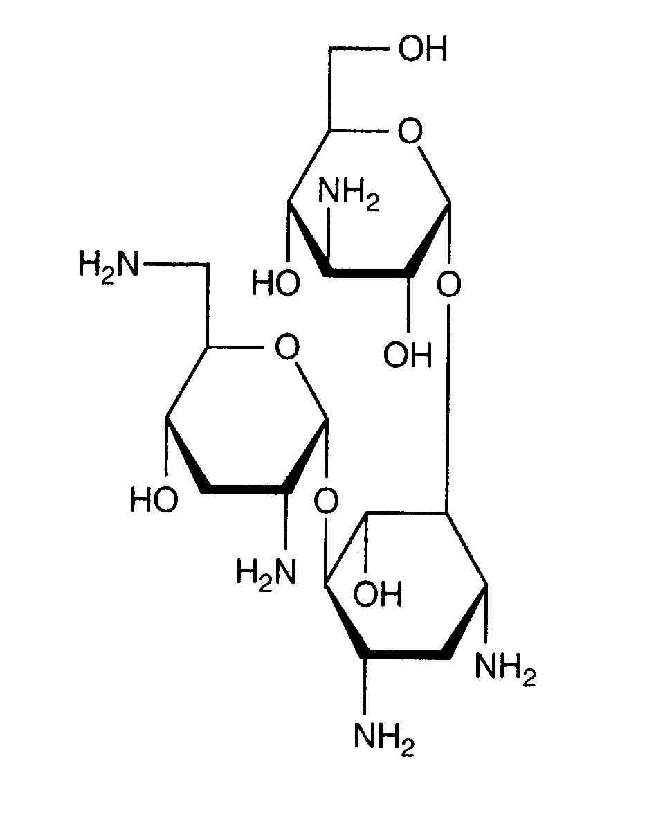
   estrutura química  

aerossol
Estabilidade de preparações farmacêuticas   aerossol   Estabilidade de preparações farmacêuticas : Tobramycin sulfate     
Embalagem Origine excipiente temperatura conservação Duração da estabilidade Bibliografia
vidro frasco de medicamento para injeção 2400 mg
Nebcin®
NaCl 0.45% >> 30 ml
25°C no especificado
195 dia
3431
Nível de evidência A

vidro frasco de medicamento para injeção 2400 mg
Nebcin®
NaCl 0.45% >> 30 ml
4°C no especificado
195 dia
3431
Nível de evidência A


  Mentions Légales