Ultimo aggiornamento :
27/04/2026
Antibiotico   Tobramycin sulfate  
Aerosol
Collirio Iniezione Soluzione orale
Stabilità dei preparati farmaceutici Stabilità in miscela Fattori che influenzano la stabilità Compatibilità Bibliografia pdf
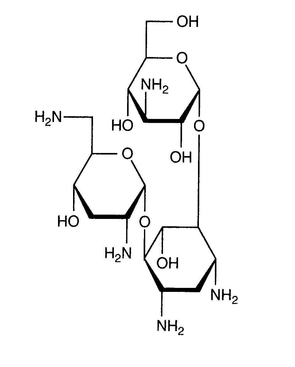
   Struttura chimica  

Aerosol
Stabilità dei preparati farmaceutici   Aerosol   Stabilità dei preparati farmaceutici : Tobramycin sulfate     
contenitore Origine eccipiente Temperatura Conservazione Durata della stabilità Bibliografia
Vetro Bottiglia di medicina per l'iniezione 2400 mg
Nebcin®
NaCl 0.45% >> 30 ml
25°C Non precisata
195 Giorno
3431
Livello di evidenza A

Vetro Bottiglia di medicina per l'iniezione 2400 mg
Nebcin®
NaCl 0.45% >> 30 ml
4°C Non precisata
195 Giorno
3431
Livello di evidenza A


  Mentions Légales