Posledná aktualizácia :
27/04/2026
antimykotikum   Amphotericin B  
Injekcia
Aerosól Kloktadlo Očná instilácia Perorálny roztok
Stabilita roztokov Stabilita v zmesiach Faktory ovplyvňujúce stabilitu Kompatibility spôsob podania Odkazy na literatúru PDF
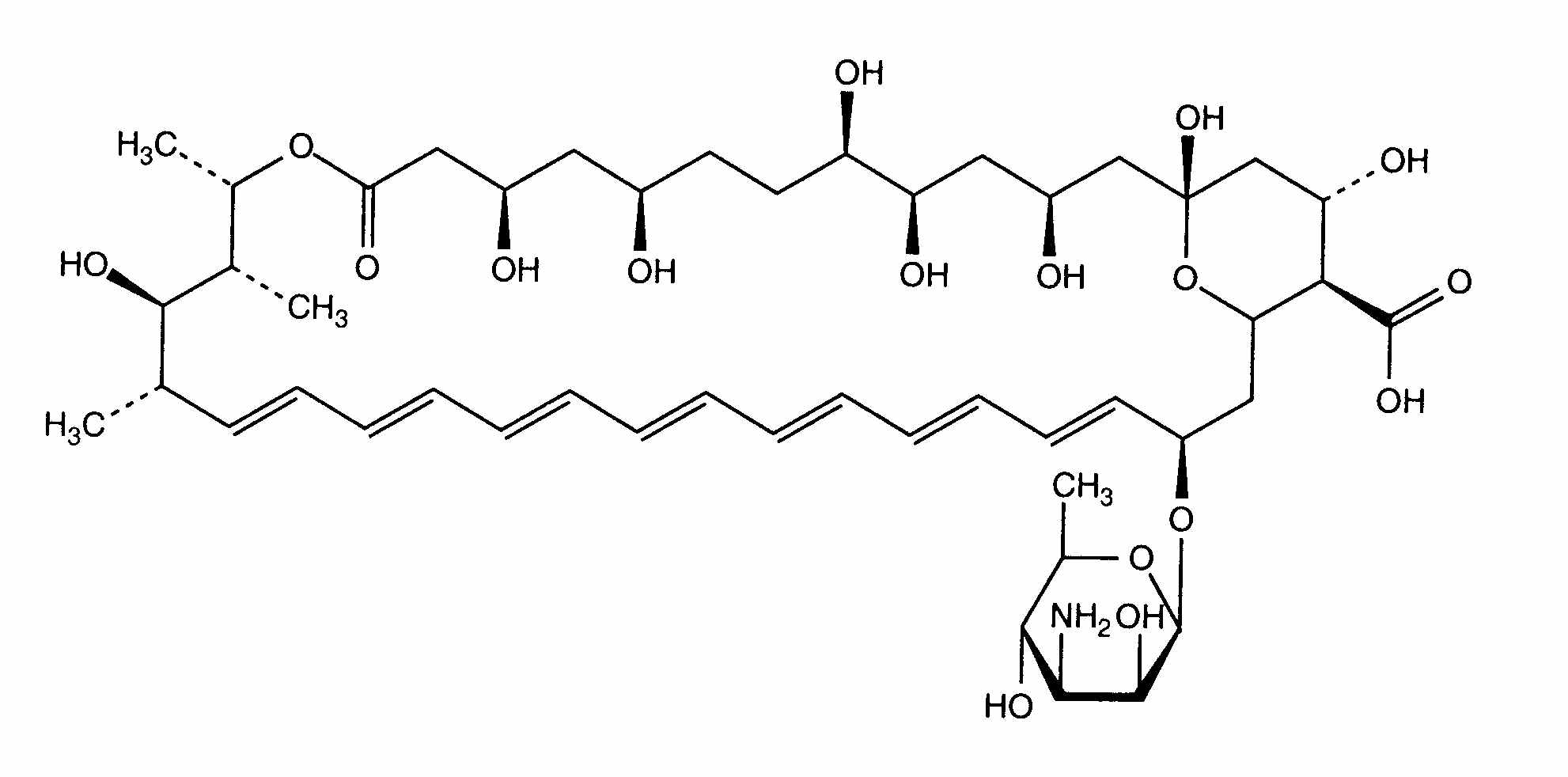
   Chemický vzorec  

Obchodný názov   Obchodný názov     

Obchodné názvy sú orientačné, a zloženie pomocných látok sa môže líšiť v závislosti od krajiny a výrobcu.

Fungizone Dánsko, Fínsko, Francúzsko, Grécko, Holandsko, India, Irán, Írsko, Kanada, Kolumbia, Maďarsko, Malajzia, Maroko, Nemecko, nový Zéland, Portugalsko, Spojené štáty Americké, Švajčiarsko, Švédsko, Taliansko, Tunisko, Turecko, Veľká Británia, Venezuela

Faktory ovplyvňujúce stabilitu   Injekcia   Faktory ovplyvňujúce stabilitu : Amphotericin B        

  Mentions Légales