Dernière mise à jour :
27/04/2026
Antifongique   Amphotericin B  
injectable
Aérosol Collyre Gargarisme Solution buvable
Stabilité des solutions Stabilité en mélange Facteur influençant la stabilité Compatibilités Voie d’administration Bibliographie pdf
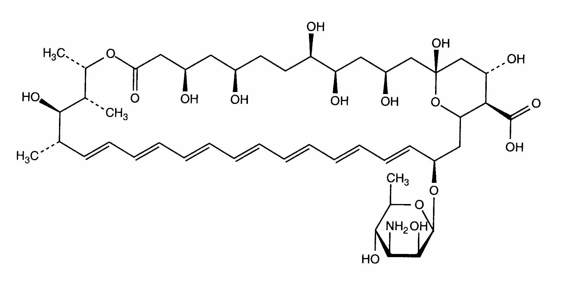
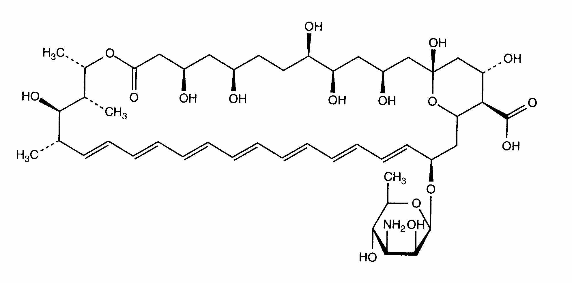
   Structure chimique  

Noms commerciaux   Noms commerciaux     

Les noms commerciaux sont donnés à titre indicatif et la composition en excipients peut être différente selon les pays et selon les laboratoires

Fungizone Allemagne, Canada, Colombie, Danemark, Etats Unis d’Amérique, Finlande, France, Grande Bretagne, Grèce, Hongrie, Inde, Iran, Irlande, Italie, Malaisie, Maroc, Nouvelle Zélande, Pays bas, Portugal, Suède, Suisse, Tunisie, Turquie, Vénézuela

Facteur influençant la stabilité   injectable   Facteur influençant la stabilité : Amphotericin B        

  Mentions Légales