最新更新 :
27/04/2026
Infostab
薬剤一覧
まとめ一覧
互換性の検索
Yサイト対応表
引用文献
研究チーム
valistab
ポスター
接続
スポンサー
作成者
ユーザーガイド
ニュースレター
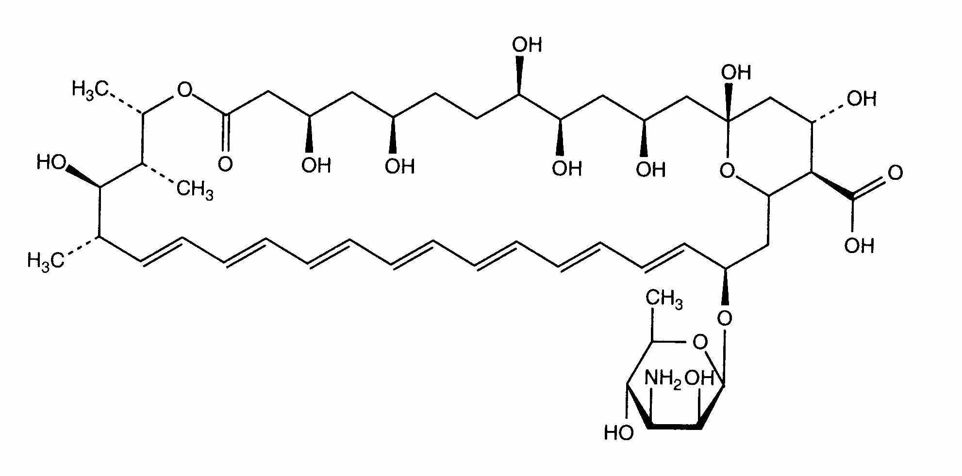
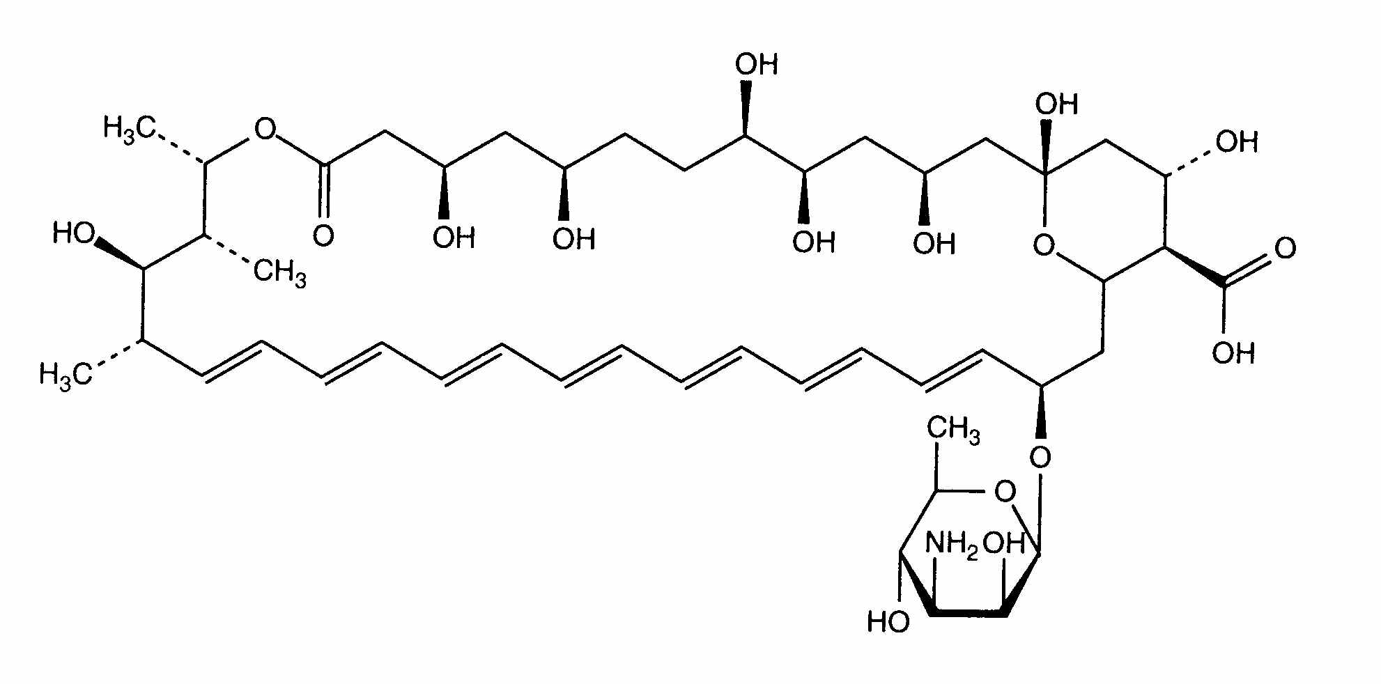
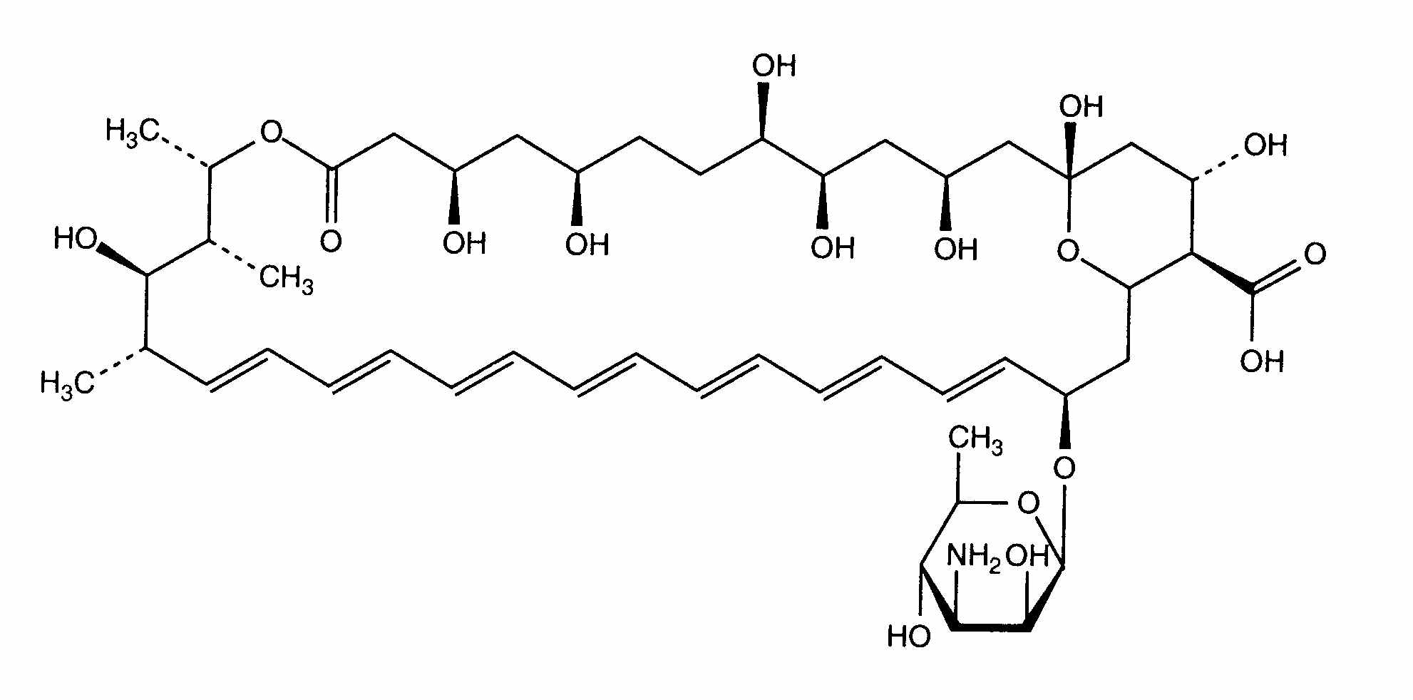
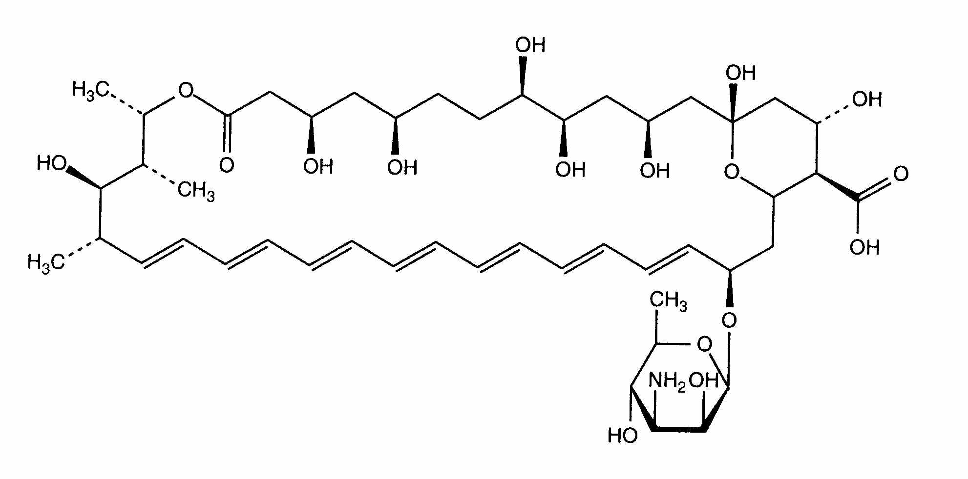
Amphotericin B
化学構造
商品名
商品名、賦形剤は国、製薬会社ごとに異なることがあります
Fungizone
アイルランド, アメリカ, イギリス, イタリア, イラン, インド, オランダ, カナダ, ギリシア, コロンビア, スイス, スウェーデン, チュニジア, デンマーク, トルコ, ドイツ, ニュージーランド, ハンガリー, フィンランド, フランス, ベネズエラ, ポルトガル, マレーシア, モロッコ
安定性に影響する因子 : Amphotericin B
892
1172
3591
1172
3968
265
270
793
984
1498
2043
301
3591
[ 0.05 mg/ml ]
3869
Mentions Légales