Siste oppdatering :
27/04/2026
Fungicid   Amphotericin B  
Injeksjon
Aerosol Mikstur Munnvann Øyedråper
Oppløsningsstabilitet Stabilitet i blandinger Faktorer som påvirker stabiliteten Kompatibilitet Administrasjonsmåte Referanser pdf
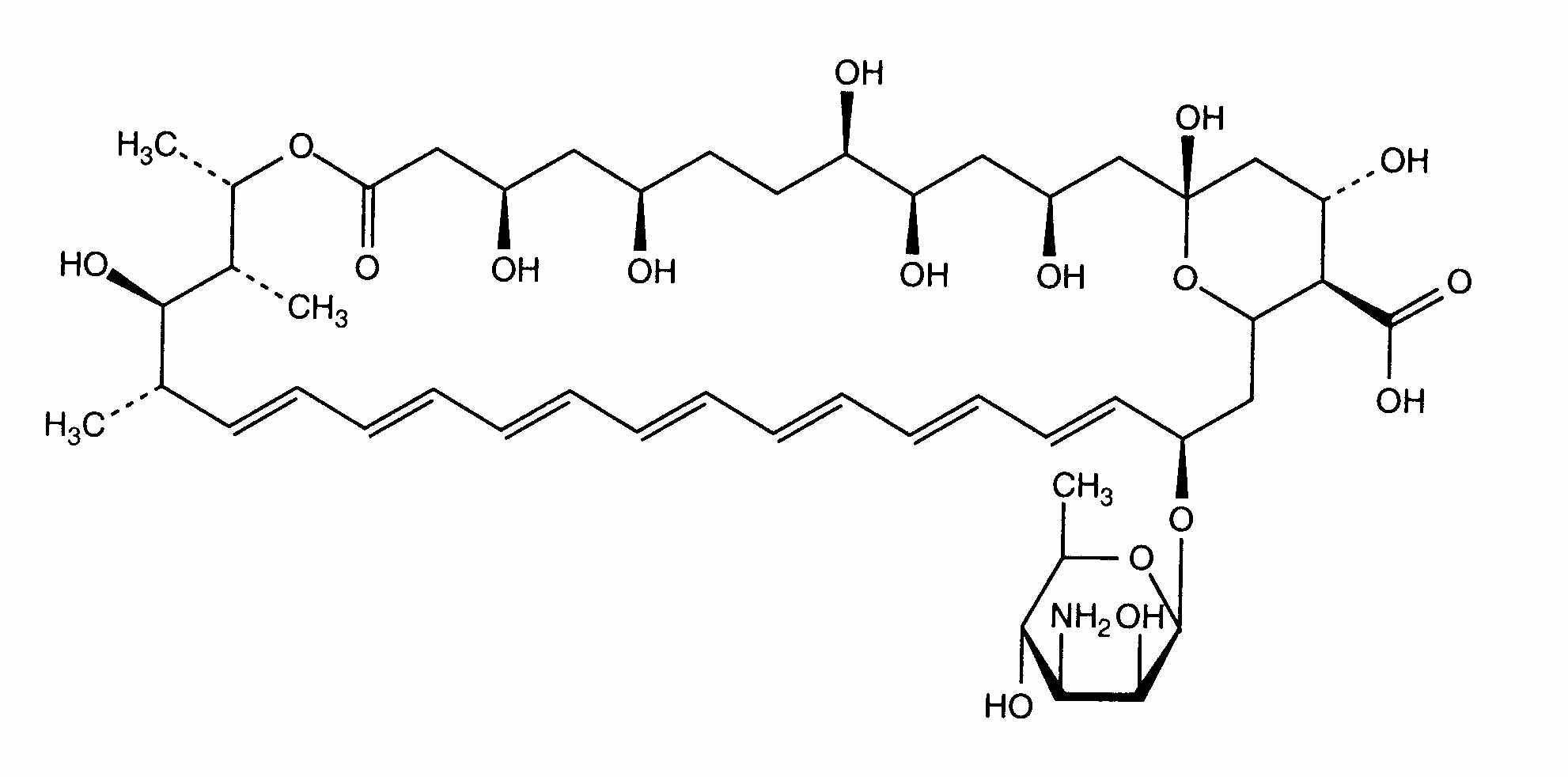
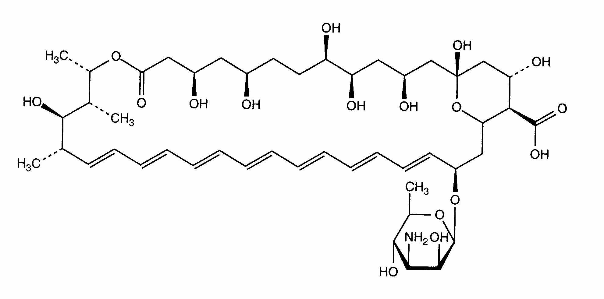
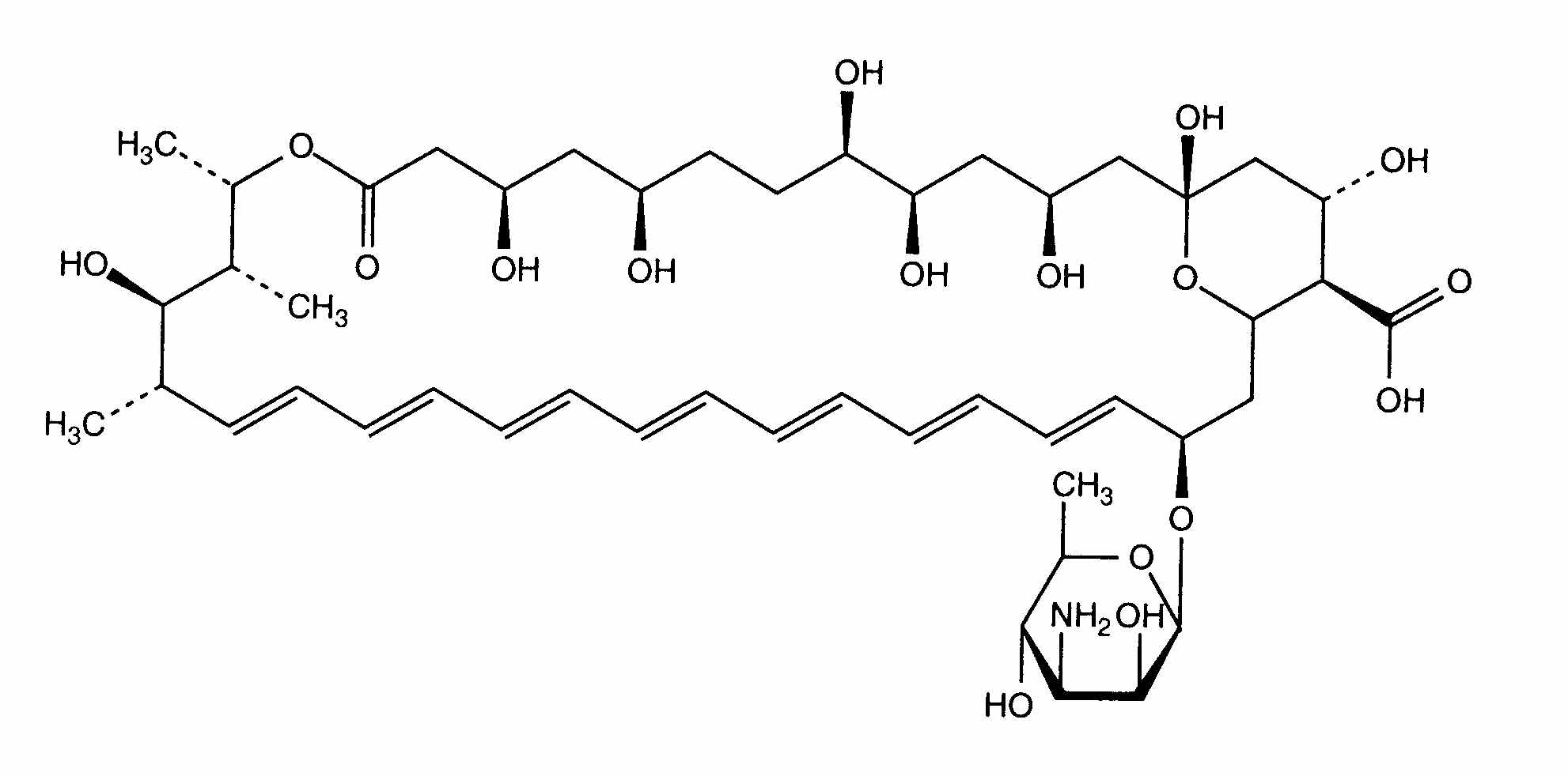
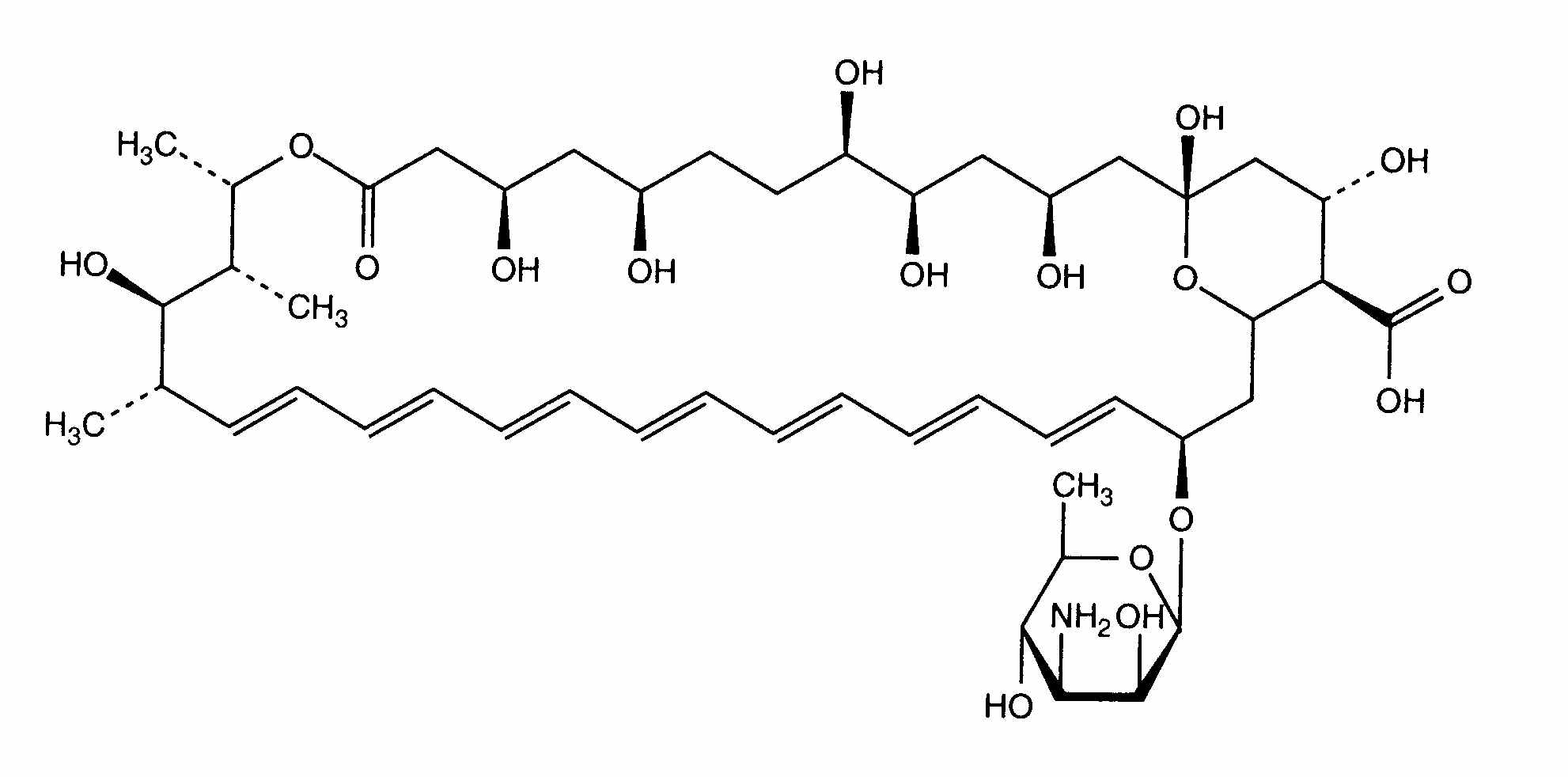
   Kjemisk struktur  

Handelsnavn   Handelsnavn     

Handelsnavn er veiledende og sammensetning av hjelpestoffer kan være forskjellig avhengig av land og produsent

Fungizone Canada, Colombia, Danmark, Finland, Frankrike, Hellas, India, Iran, Irland, Italia, Malaysia, Marokko, Nederland, New Zealand, Portugal, Storbritannia, Sveits, Sverige, Tunisia, Tyrkia, Tyskland, Ungarn, USA, Venezuela

Faktorer som påvirker stabiliteten   Injeksjon   Faktorer som påvirker stabiliteten : Amphotericin B        

  Mentions Légales