Viimeisin päivitys :
27/04/2026
Sienilääkkeet   Amphotericin B  
Injektioneste
Aerosoli Oraaliliuos Silmätipat Suuvesi
Stabilius liuoksessa Stabilius seoksissa Tekijät, jotka vaikuttavat stabiliuteen Yhteensopivuus Antotapa Viitteet pdf
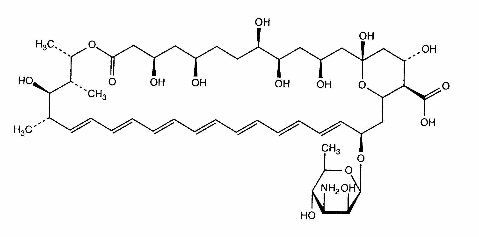
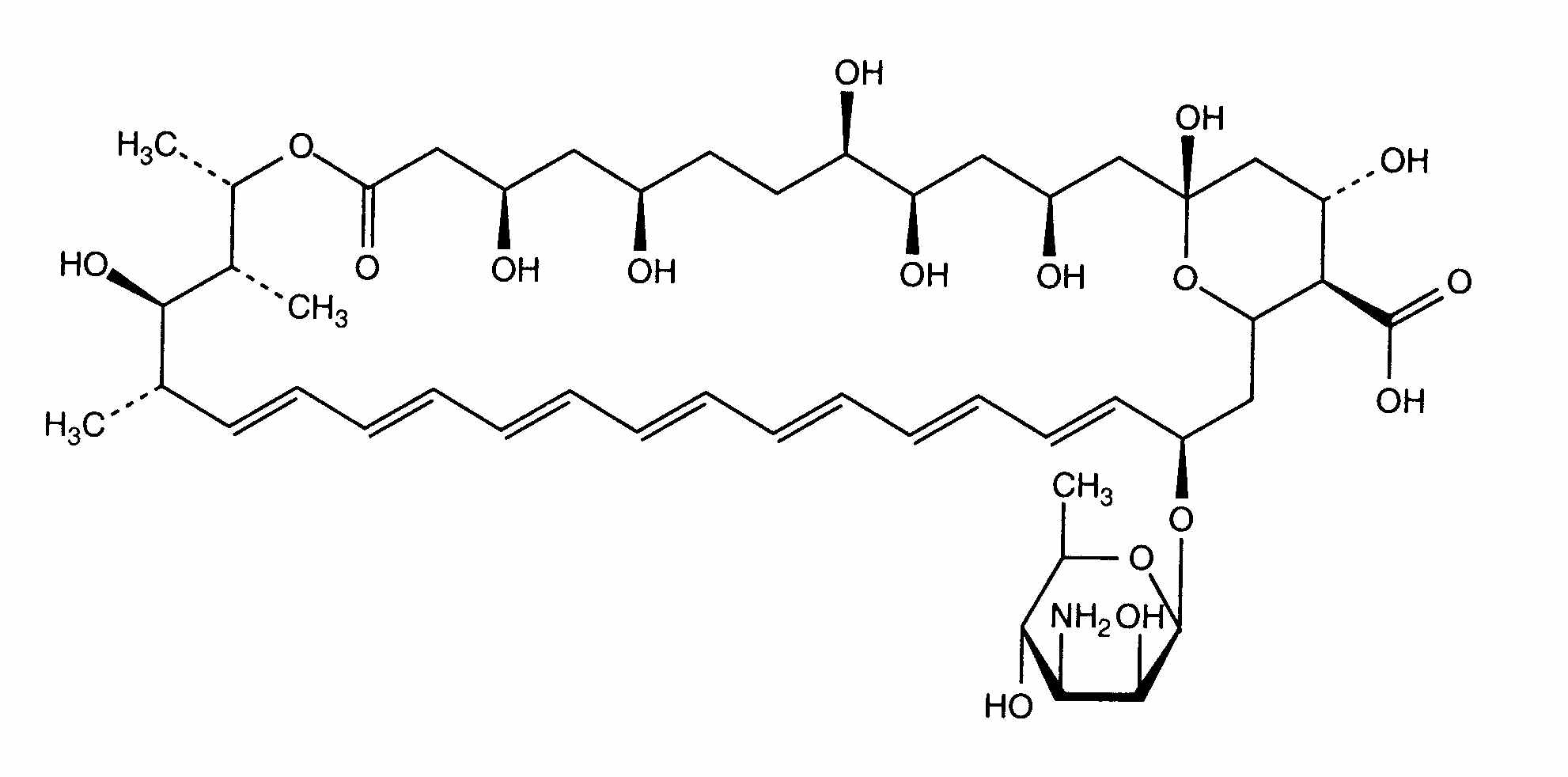
   Kemiallinen rakenne  

Kauppanimi   Kauppanimi     

Trade names are indicative and excipients composition can be different depending on the country and manufacturers

Fungizone Hollanti, Intia, Iran, Irlanti, Iso-Britannia, Italia, Kanada, Kolumbia, Kreikka, Malesia, Marokko, New Zealand, Portugali, Ranska, Ruotsi, Saksa, Suomi, Sveitsi, Tanska, Tunisia, Turkki, Unkari, Venezuela, Yhdysvallat

Tekijät, jotka vaikuttavat stabiliuteen   Injektioneste   Tekijät, jotka vaikuttavat stabiliuteen : Amphotericin B        

  Mentions Légales