Laatste update :
27/04/2026
Antimycoticum   Amphotericin B  
injecteerbaar geneesmiddel
Aerosol gorgelen Oogwater Orale Oplossing
Stabiliteit in oplossing Stabiliteit in mengsels Factoren die de stabiliteit beïnvloeden Verenigbaarheden Toedieningswijze Literatuur pdf
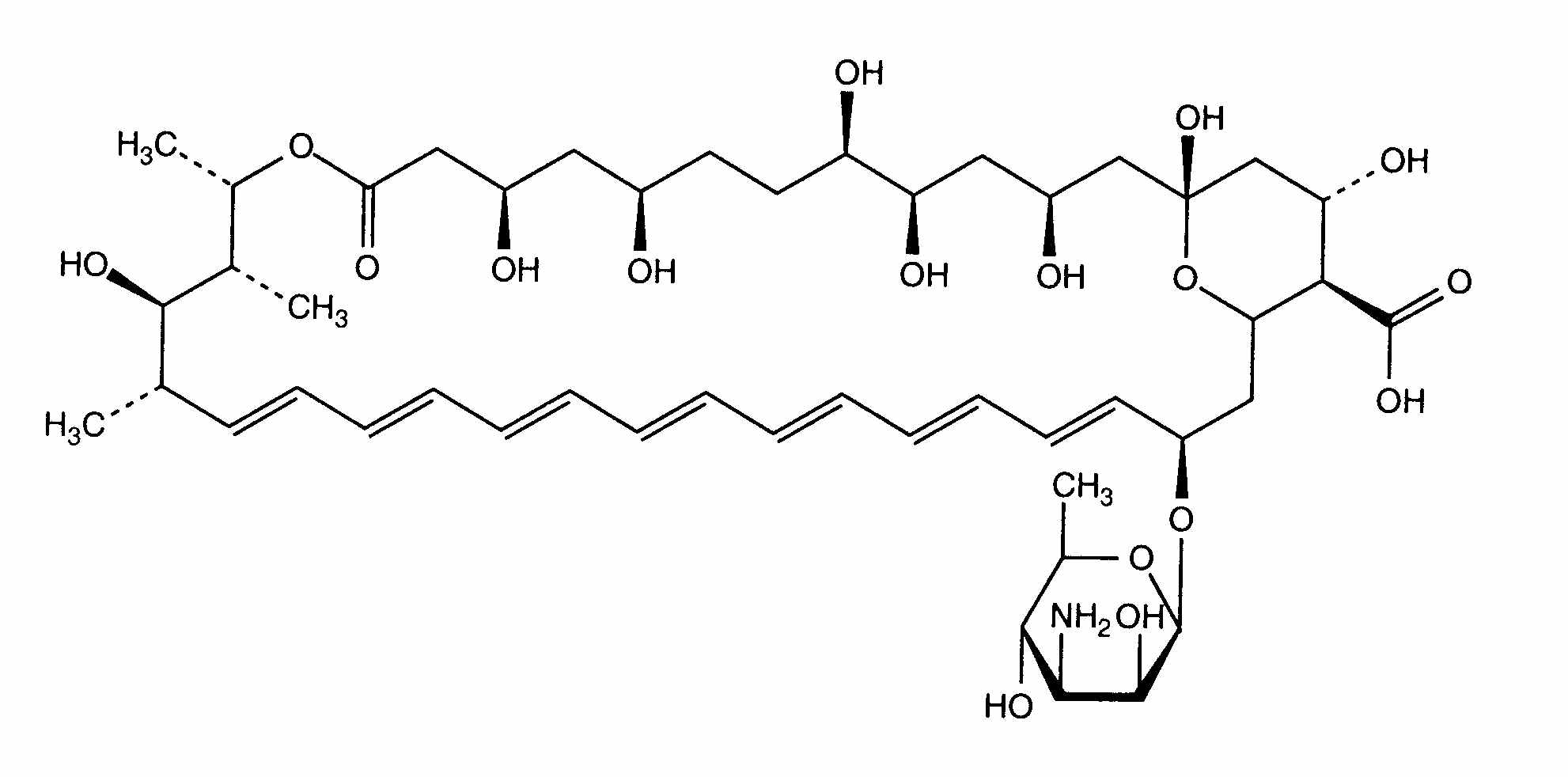
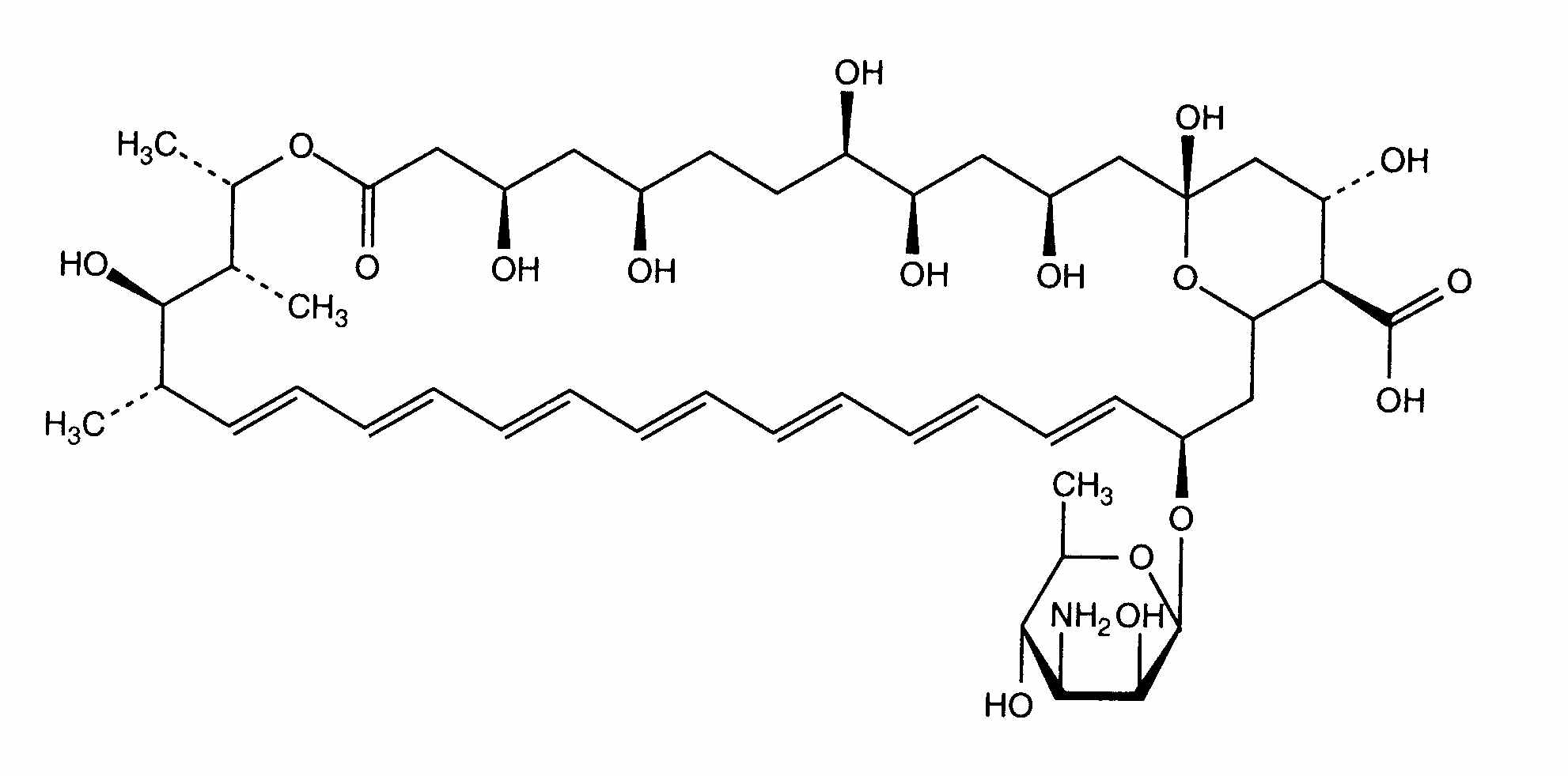
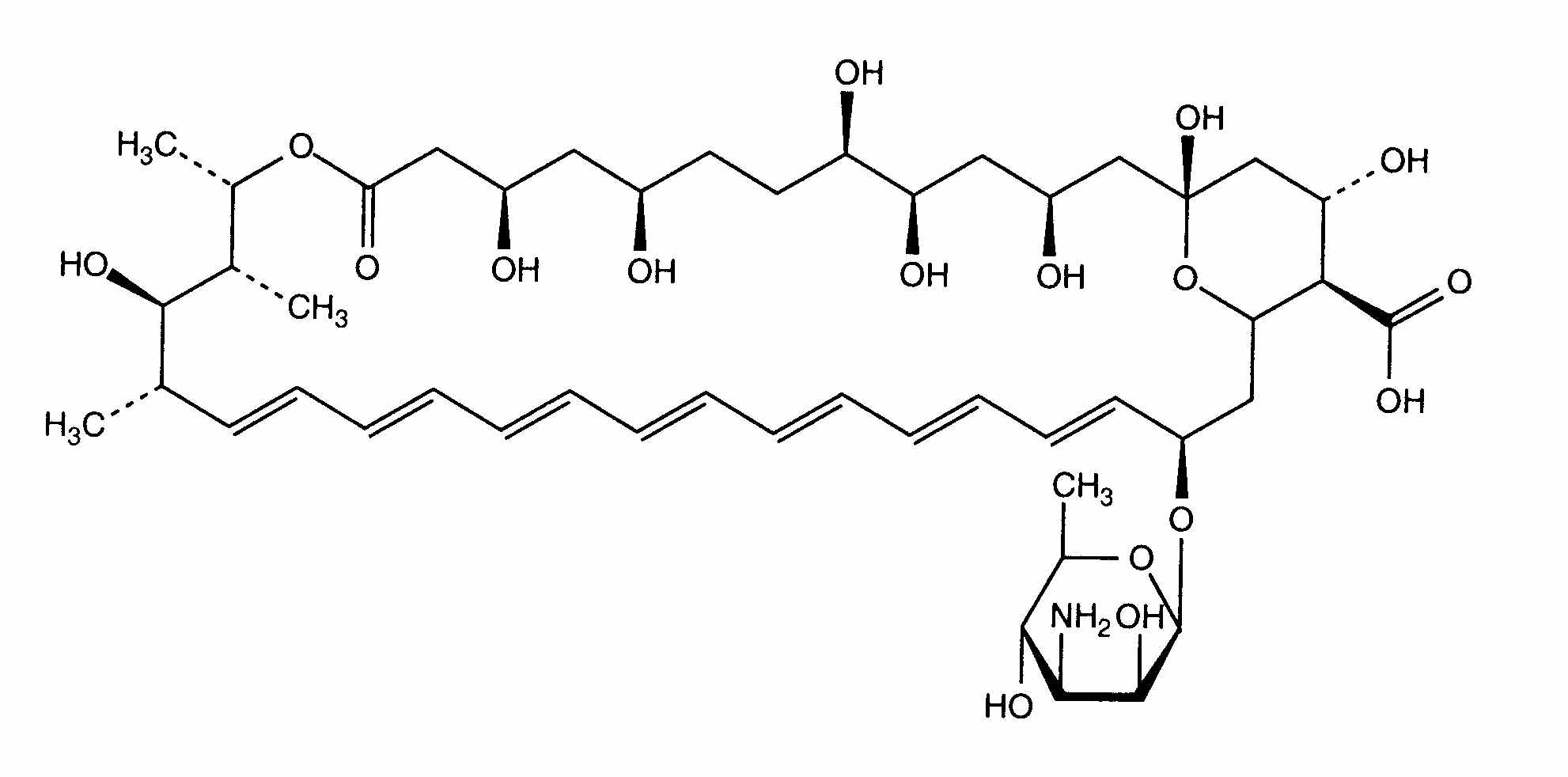
   Molecuulstructuur  

Merknamen in verschillende landen   Merknamen in verschillende landen     

Handelsnamen zijn slechts een indicatie; de samenstelling van hulpstoffen kan per land variëren afhankelijk van de fabrikant

Fungizone Canada, Colombia, Denemarken, Duitsland, Finland, Frankrijk, Griekenland, Groot Britannië, Hongarije, Ierland, Indië, Iran, Italië, Maleisië, Marokko, Nederland, nieuw Zeeland, Portugal, Tunisie, Turkije, USA, Venezuela, Zweden, Zwitserland

Factoren die de stabiliteit beïnvloeden   injecteerbaar geneesmiddel   Factoren die de stabiliteit beïnvloeden : Amphotericin B        

  Mentions Légales