Останнє оновлення :
27/01/2026
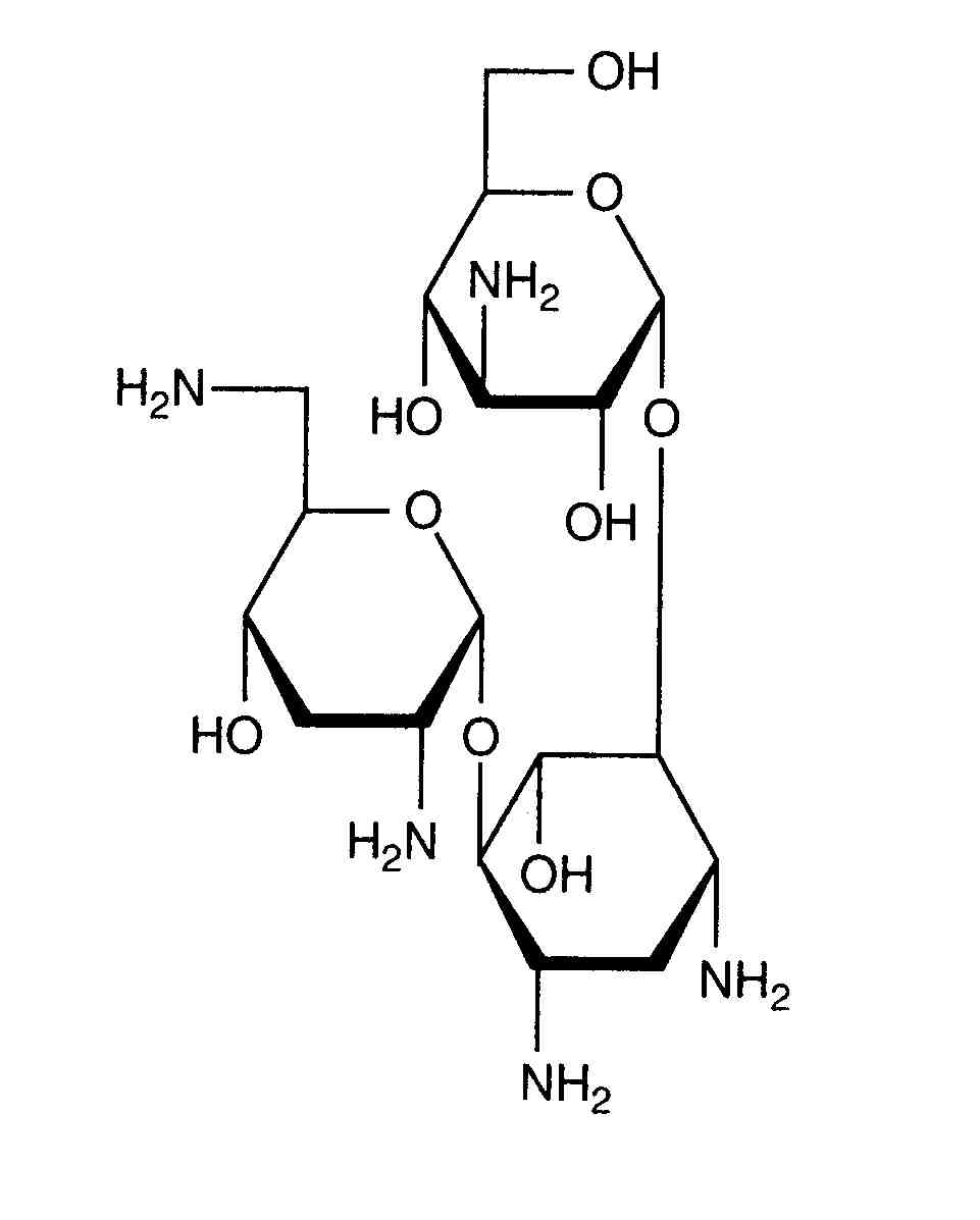
Антибіотик   Tobramycin sulfate   
Очні краплі
ін'єкція аерозоль Розчин для перорального застосування
Стабільність фармацевтичних препаратів Стійкість сумішей Фактори, що впливають на стабільність Сумісність Список літератури pdf
   Хімічна структура  

Очні краплі

Фактори, що впливають на стабільність   Очні краплі   Фактори, що впливають на стабільність : Tobramycin sulfate         
7 / 5 000 Résultats de traduction Немає даних

  Mentions Légales