Last update :
27/01/2026
Antibiotic   Tobramycin sulfate   
Eye-drops
aerosol injection Oral solution
Stability of pharmaceutical preparations Stability of mixtures Factors which affect stability Compatibility References pdf
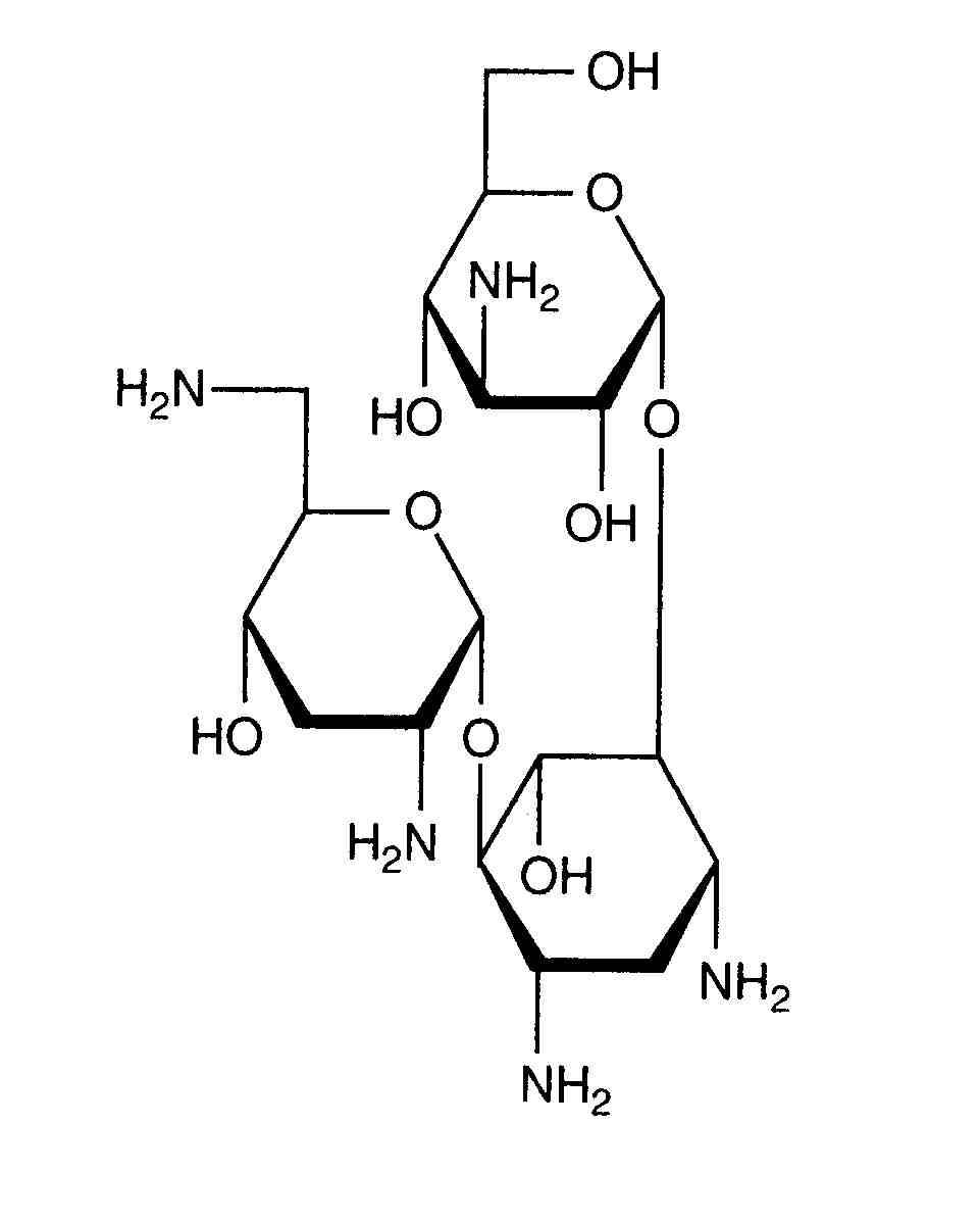
   Chemical structure  

Eye-drops

Factors which affect stability   Eye-drops   Factors which affect stability : Tobramycin sulfate         
No data

  Mentions Légales