Dernière mise à jour :
27/01/2026
Antibiotique   Tobramycin sulfate   
Collyre
Aérosol injectable Solution buvable
Stabilité des préparations Stabilité en mélange Facteur influençant la stabilité Compatibilités Bibliographie pdf
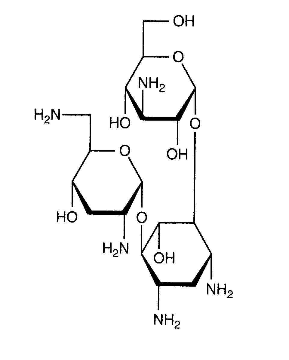
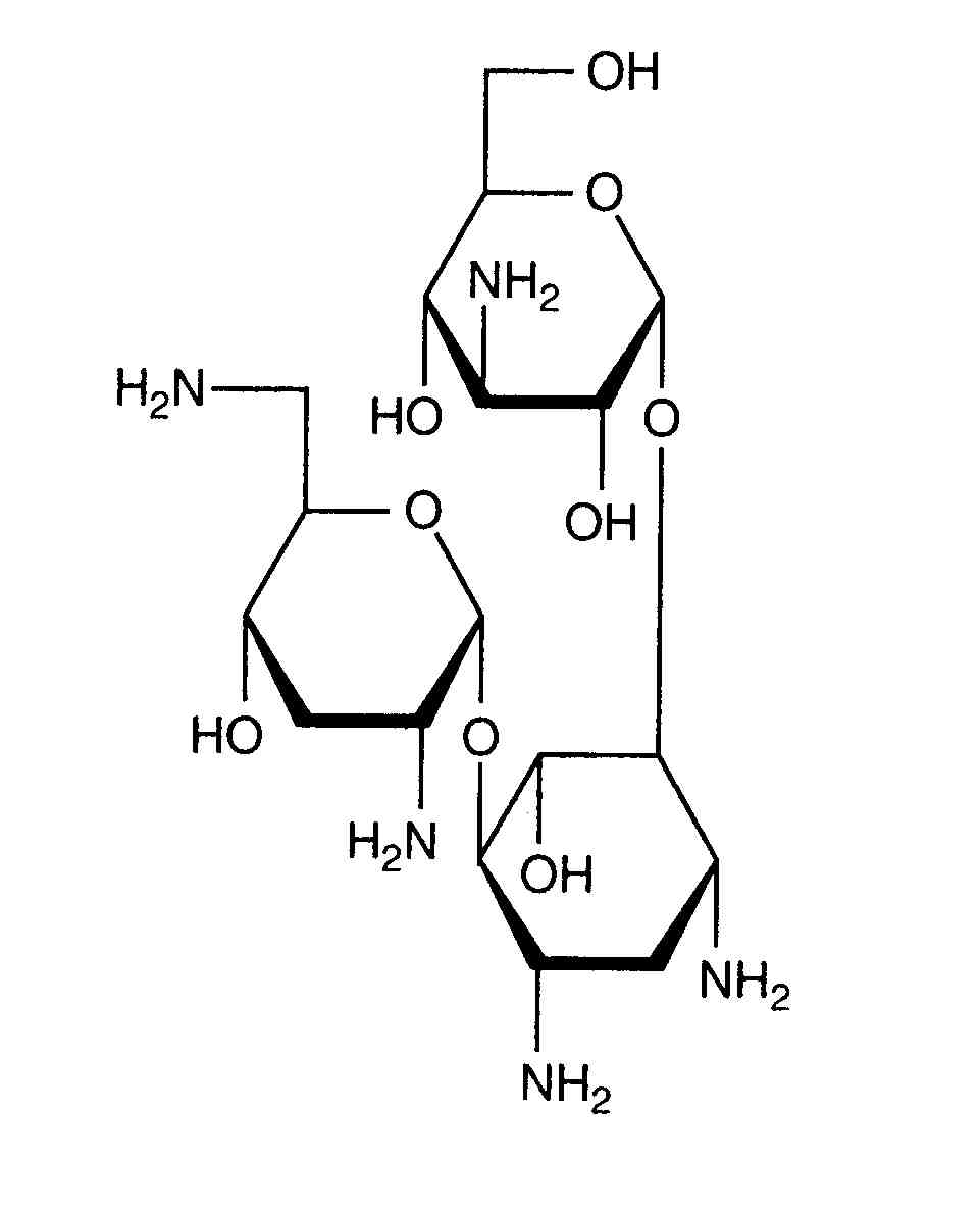
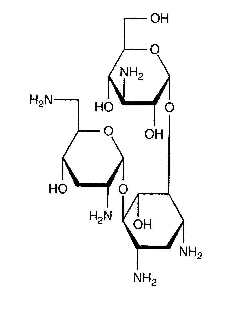
   Structure chimique  

Collyre

Facteur influençant la stabilité   Collyre   Facteur influençant la stabilité : Tobramycin sulfate         
Aucune donnée

  Mentions Légales