Pēdējā atjaunošana :
27/01/2026
Antibiotika   Tobramycin sulfate   
Acu pilieni
Aerosols Injekcija Orāls šķīdums
Stabilitāte farmaceitisko preparātu Maisījuma stabilitāte Stabilitāti ietekmējoši faktori Saderība Literatūras saraksts pdf
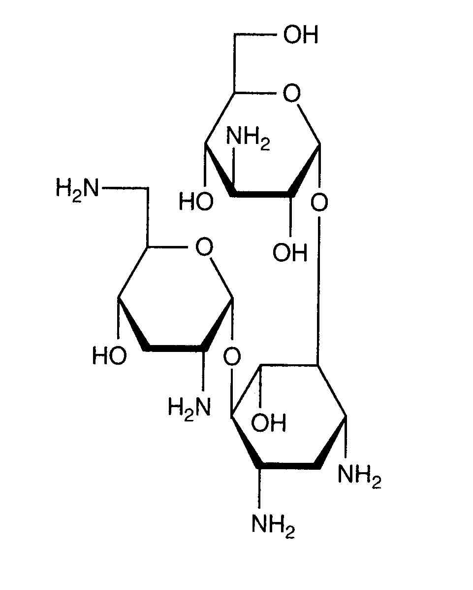
   Ķīmiskā uzbūve   

Acu pilieni

Stabilitāti ietekmējoši faktori   Acu pilieni   Stabilitāti ietekmējoši faktori : Tobramycin sulfate         
Nav datu

  Mentions Légales