Seneste opdatering :
27/01/2026
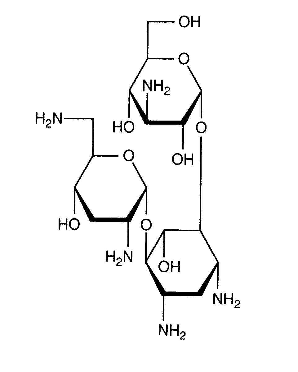
Antibiotisk   Tobramycin sulfate   
Øjendråber
Aerosol Injektion Oral opløsning
Stabilitet af farmaceutiske tilberedninger Stabilitet i blandinger Faktorer der påvirker stabiliteten Kompatibilitet Bibliografi pdf
   Kemisk struktur  

Øjendråber

Faktorer der påvirker stabiliteten   Øjendråber   Faktorer der påvirker stabiliteten : Tobramycin sulfate         
Ingen data

  Mentions Légales