zadnja posodobitev :
27/01/2026
Antibiotik   Tobramycin sulfate   
Kapljice za oči
Aerosol Brizgalka Peroralna raztopina
Stabilnost farmacevtskih preparatov Stabilnost mešanice Faktorji, ki vplivajo na stabilnost Kompatibilnost Viri pdf
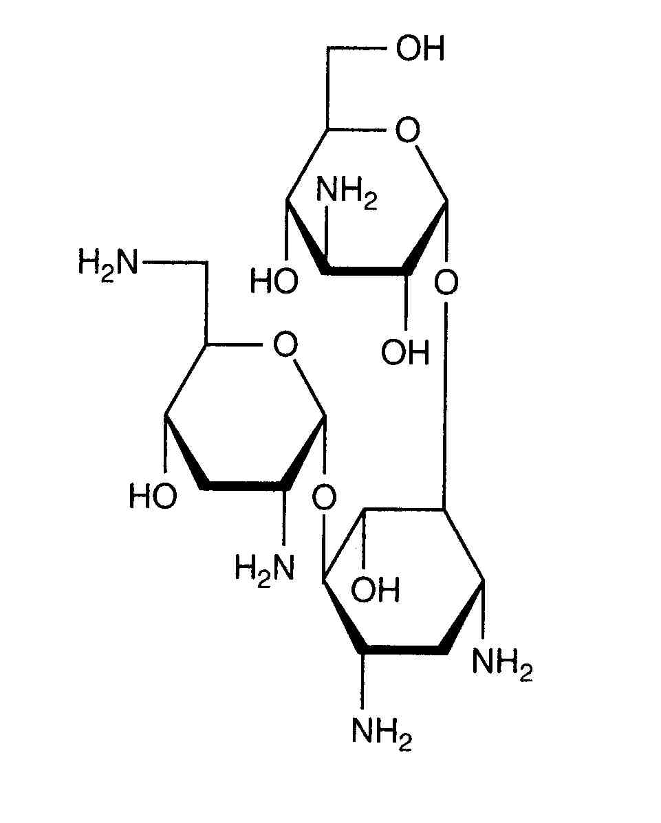
   Kemična formula  

Kapljice za oči

Faktorji, ki vplivajo na stabilnost   Kapljice za oči   Faktorji, ki vplivajo na stabilnost : Tobramycin sulfate         
ni podatka

  Mentions Légales