Последнее обновление :
27/01/2026
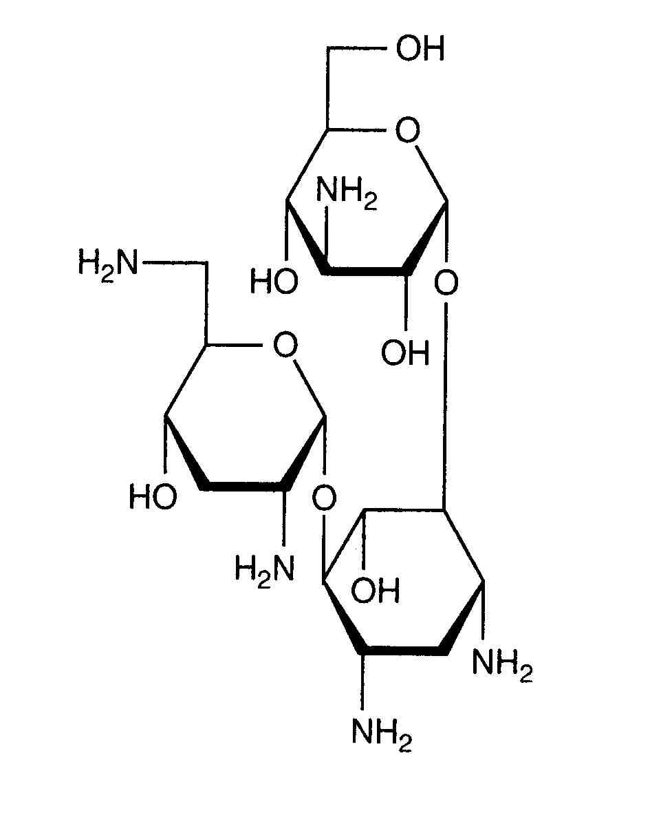
Антибиотик   Tobramycin sulfate   
Глазные капли
Аэрозоль Инъекция Раствор для перорального приёма
Стабильность фармацевтических препаратов Стабильность смесей Факторы, которые влияют на стабильность Совместимость Библиография pdf
   Химическая структура  

Глазные капли

Факторы, которые влияют на стабильность   Глазные капли   Факторы, которые влияют на стабильность : Tobramycin sulfate         
данных нет

  Mentions Légales