Ultimele actualizari :
27/01/2026
Antibiotic   Tobramycin sulfate   
colir
Aerosol Injectabil Soluţie orală
Stabilitatea preparatelor farmaceutice Stabilitatea in amestec Factorii care influenteaza stabilitatea Compatibilitate Bibliografie pdf
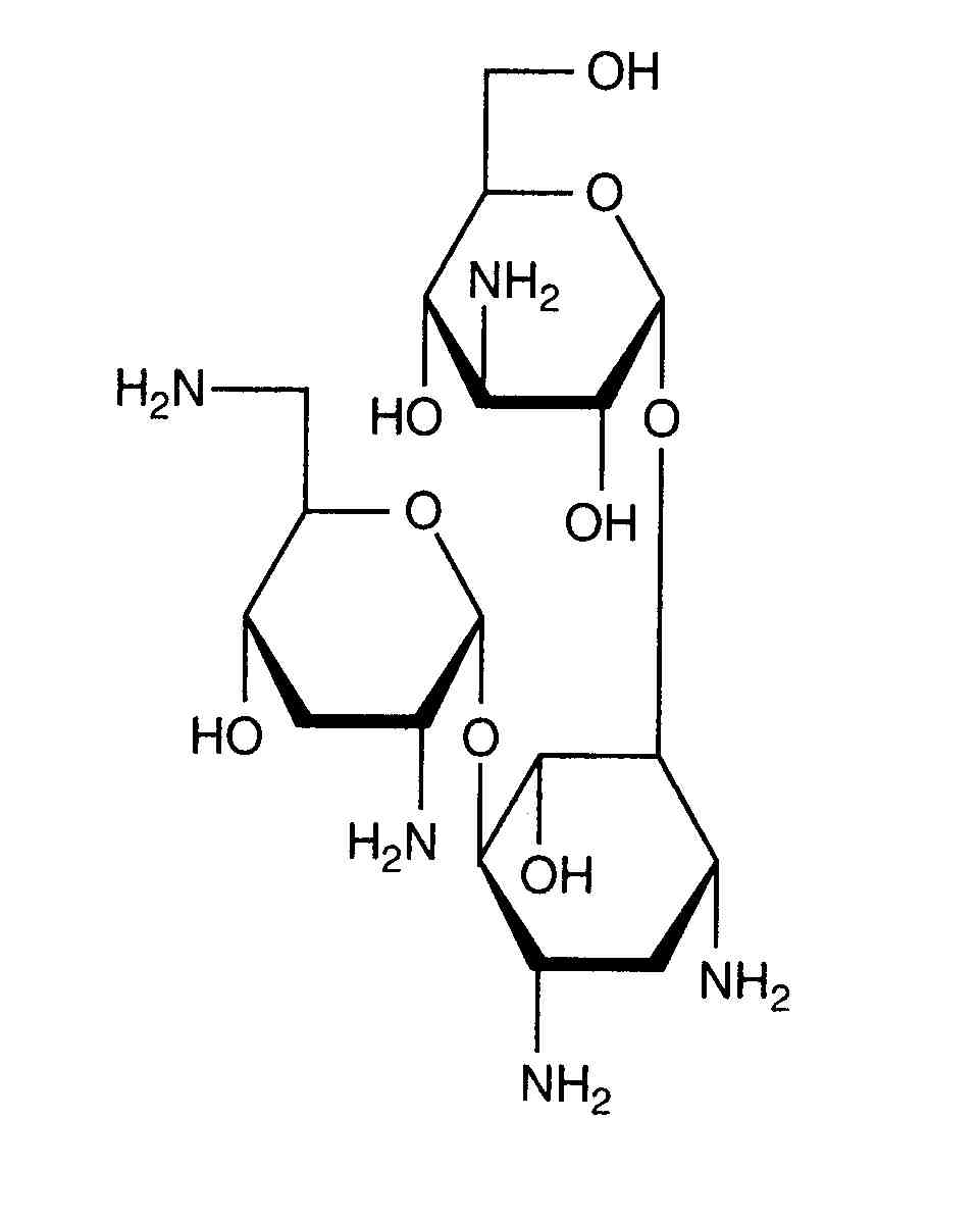
   Formula chimica  

colir

Factorii care influenteaza stabilitatea   colir   Factorii care influenteaza stabilitatea : Tobramycin sulfate         
Absenta de date

  Mentions Légales