Posledná aktualizácia :
27/04/2026
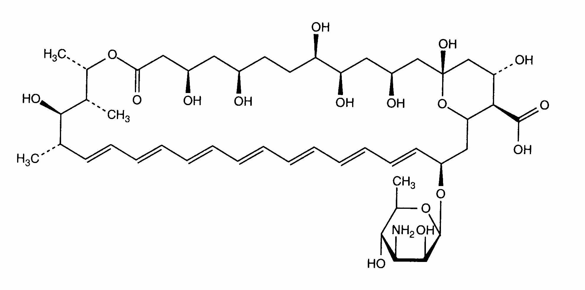
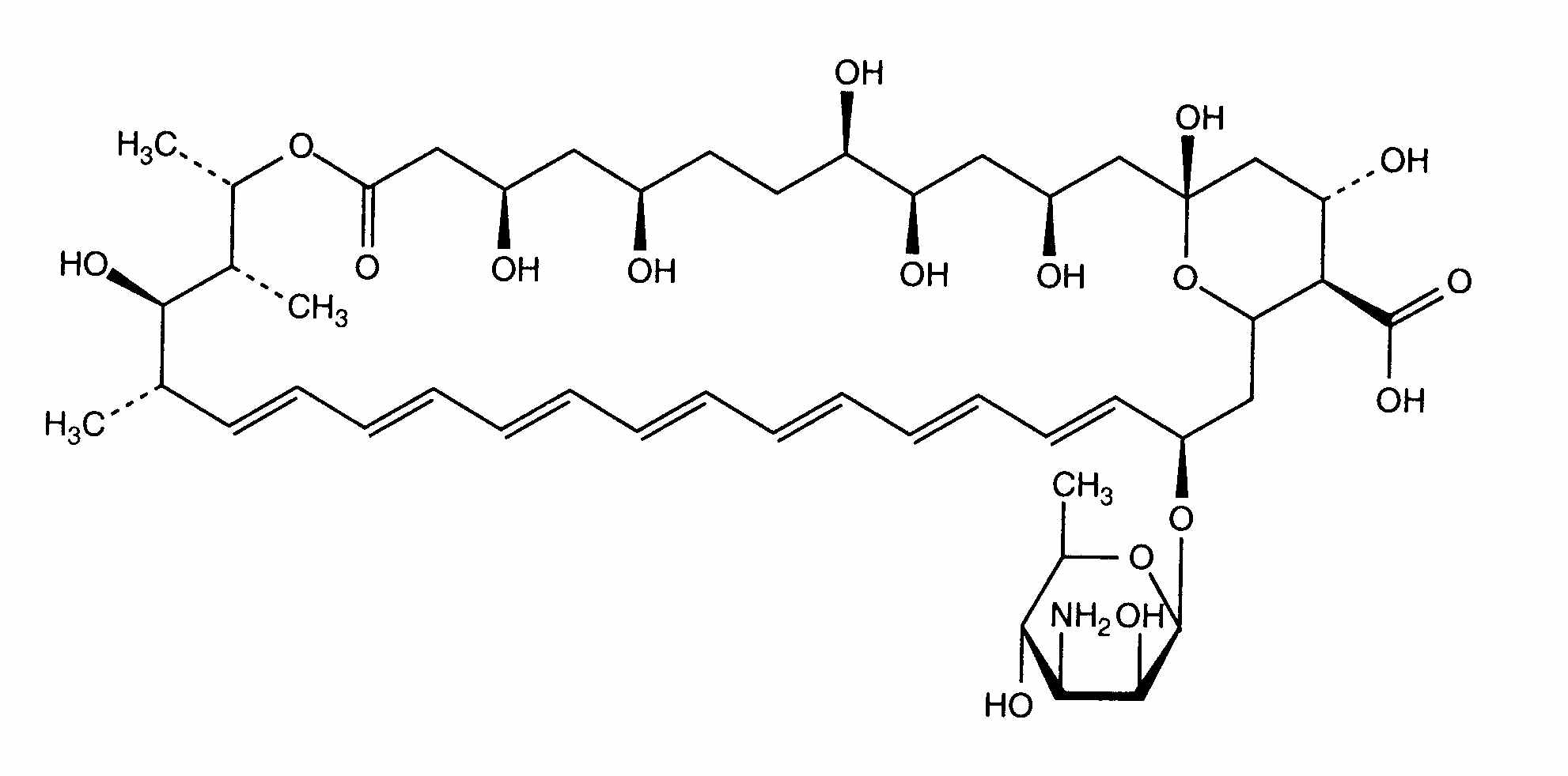
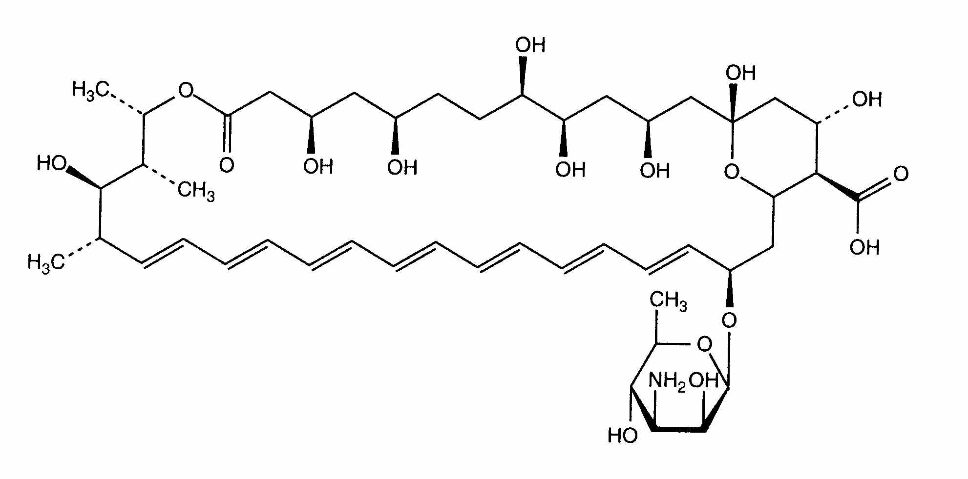
antimykotikum   Amphotericin B  
Kloktadlo
Aerosól Injekcia Očná instilácia Perorálny roztok
Stabilita farmaceutických prípravkov Stabilita v zmesiach Faktory ovplyvňujúce stabilitu Kompatibility Odkazy na literatúru PDF
   Chemický vzorec  

Kloktadlo
Odkazy na literatúru   Kloktadlo   Odkazy na literatúru : Amphotericin B  
Typ Publikácia
2820 Časopis Groeschke J, Solassol I, Bressolle F, Pinguet F.
Stability of amphotericin B and nystatin in antifungal mouthrinses containing sodium hydrogen carbonate
J Pharm Biomed Anal 2006 ; 42: 362-366.

  Mentions Légales