Последно актуализиране :
27/04/2026
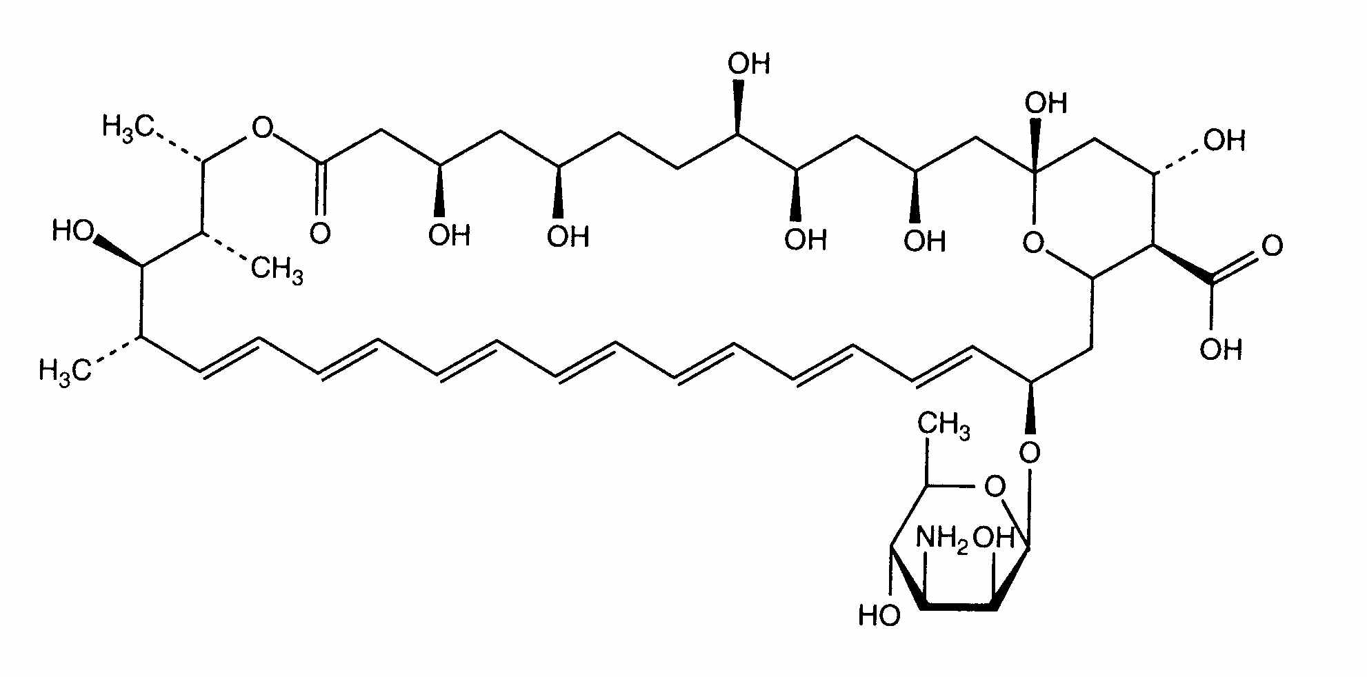
Противогъбично средство   Amphotericin B  
Разтвор за уста
Аерозол Инжекция/Инжекционен Капки за очи Орален разтвор
Стабилност на лекарствени препарати Стабилност на смеси Фактори, повлияващи стабилността Съвместимост Библиография Pdf
   Химична структура  

Разтвор за уста
Библиография   Разтвор за уста   Библиография : Amphotericin B  
Вид Публикация
2820 Списание Groeschke J, Solassol I, Bressolle F, Pinguet F.
Stability of amphotericin B and nystatin in antifungal mouthrinses containing sodium hydrogen carbonate
J Pharm Biomed Anal 2006 ; 42: 362-366.

  Mentions Légales