最新更新 :
27/04/2026
抗真菌薬   Amphotericin B  
含嗽薬
エアロゾル 注射薬 点眼薬 経口液
調剤時の安定性 混合時の安定性 安定性に影響する因子 互換性 引用文献 PDF
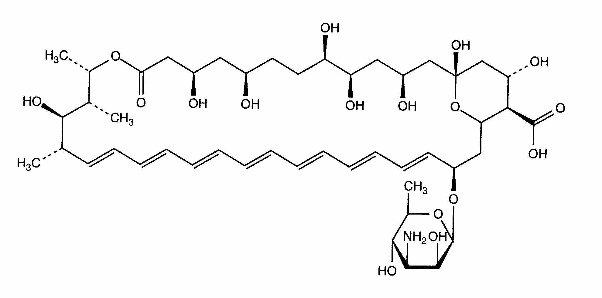
   化学構造  

含嗽薬
引用文献   含嗽薬   引用文献 : Amphotericin B  
形式 出版物
2820 雑誌 Groeschke J, Solassol I, Bressolle F, Pinguet F.
Stability of amphotericin B and nystatin in antifungal mouthrinses containing sodium hydrogen carbonate
J Pharm Biomed Anal 2006 ; 42: 362-366.

  Mentions Légales