Seneste opdatering :
27/04/2026
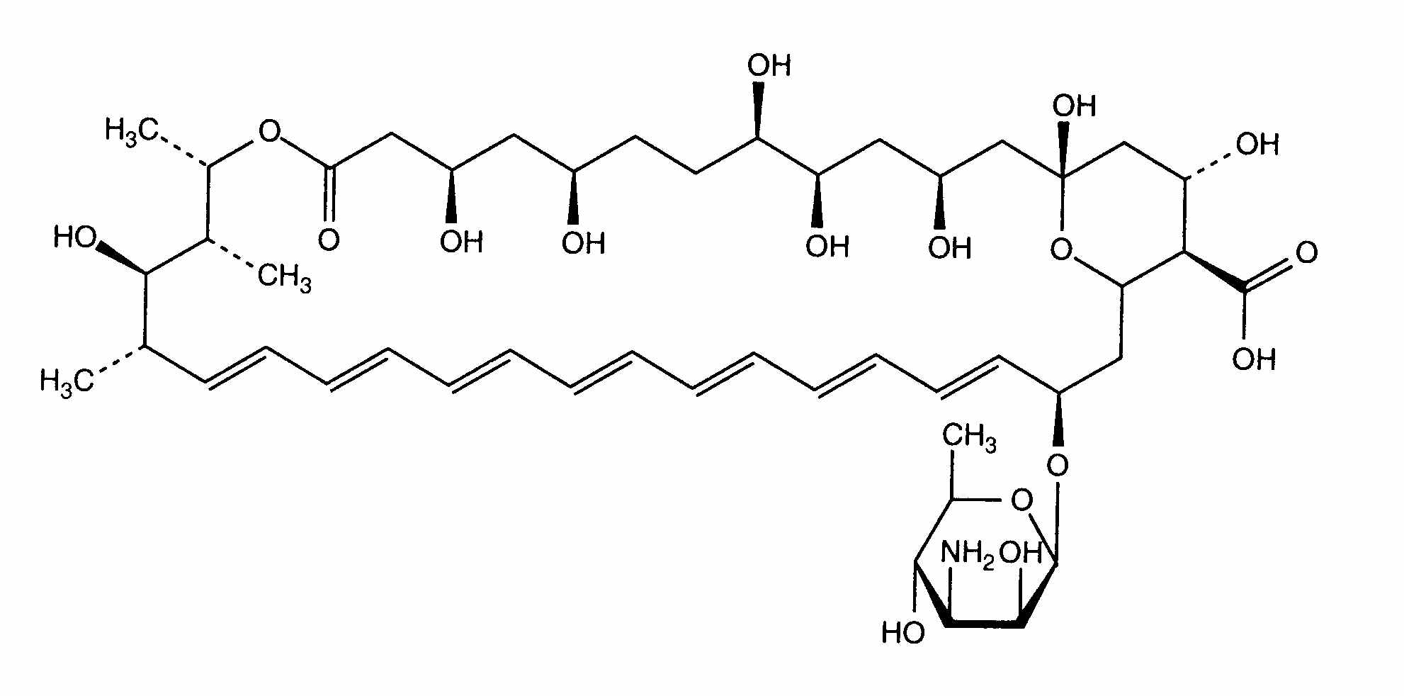
Antisvampe   Amphotericin B  
Mundskyllevæske
Aerosol Injektion Oral opløsning Øjendråber
Stabilitet af farmaceutiske tilberedninger Stabilitet i blandinger Faktorer der påvirker stabiliteten Kompatibilitet Bibliografi pdf
   Kemisk struktur  

Mundskyllevæske
Bibliografi   Mundskyllevæske   Bibliografi : Amphotericin B  
Type offentliggørelse
2820 Journal Groeschke J, Solassol I, Bressolle F, Pinguet F.
Stability of amphotericin B and nystatin in antifungal mouthrinses containing sodium hydrogen carbonate
J Pharm Biomed Anal 2006 ; 42: 362-366.

  Mentions Légales