Zadnji put ažurirano :
27/04/2026
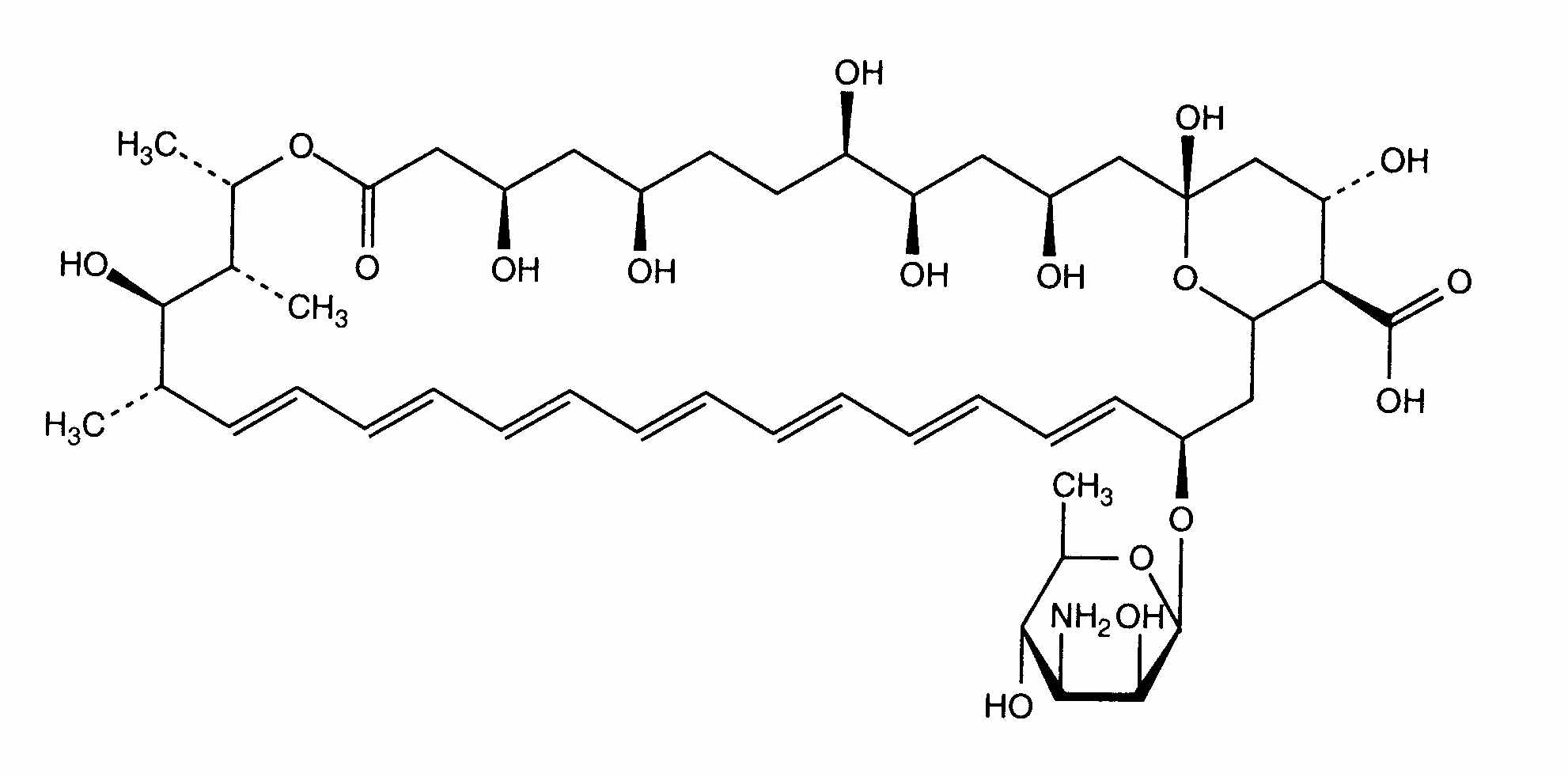
antifungicid   Amphotericin B  
otopina za ispiranje usne šupljine
aerosol injekcija kapi za oko oralna otopina
Stabilnost farmaceutskih pripravaka Stabilnost mješavine Stabilizacijski faktor Kompatibilnosti Bibliografija pdf
   Kemijska struktura  

otopina za ispiranje usne šupljine
Bibliografija   otopina za ispiranje usne šupljine   Bibliografija : Amphotericin B  
Vrsta Publikacija
2820 Časopis Groeschke J, Solassol I, Bressolle F, Pinguet F.
Stability of amphotericin B and nystatin in antifungal mouthrinses containing sodium hydrogen carbonate
J Pharm Biomed Anal 2006 ; 42: 362-366.

  Mentions Légales