Ultimo aggiornamento :
27/04/2026
Antimicotico   Amphotericin B  
Collutorio
Aerosol Collirio Iniezione Soluzione orale
Stabilità dei preparati farmaceutici Stabilità in miscela Fattori che influenzano la stabilità Compatibilità Bibliografia pdf
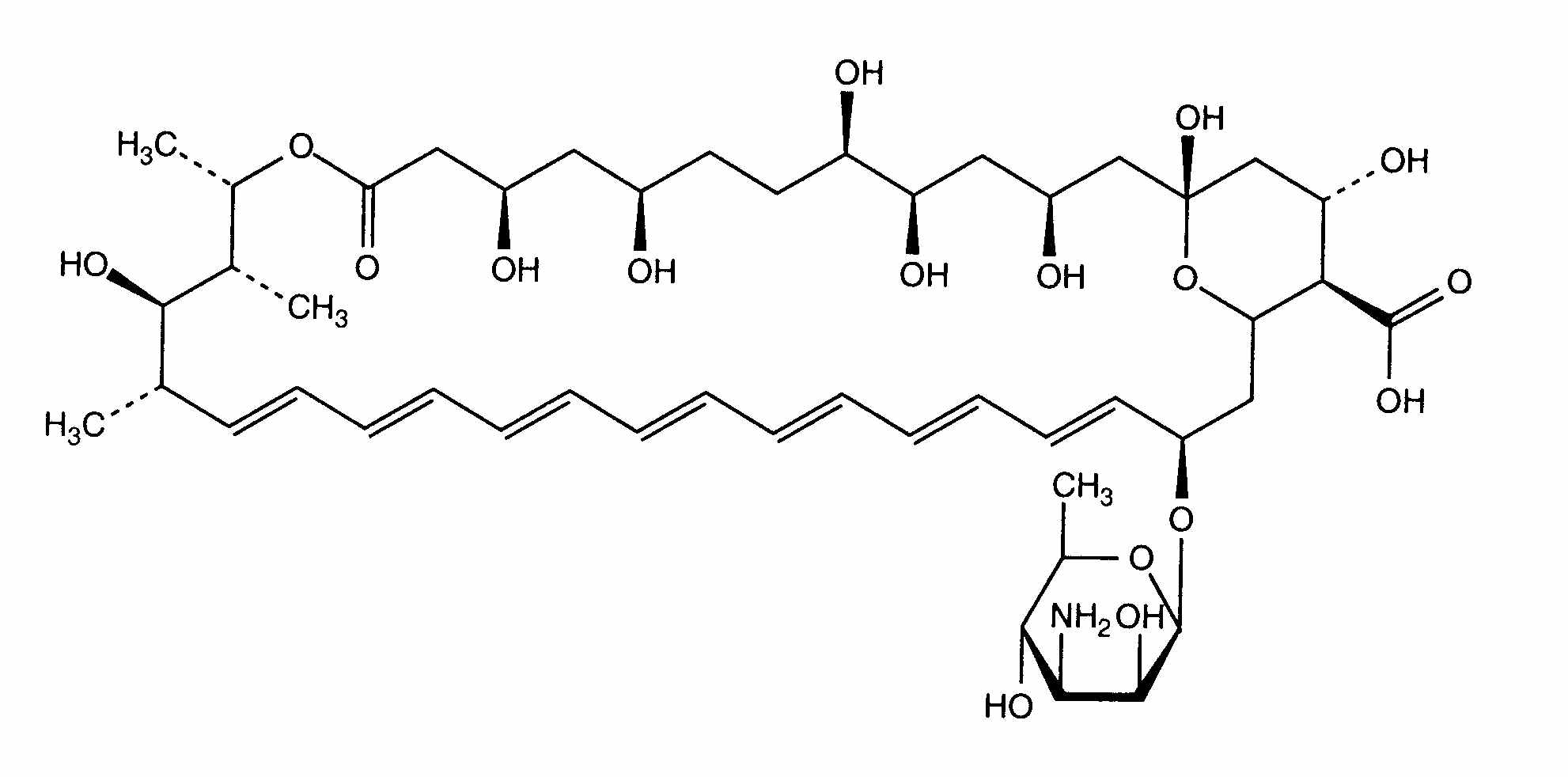
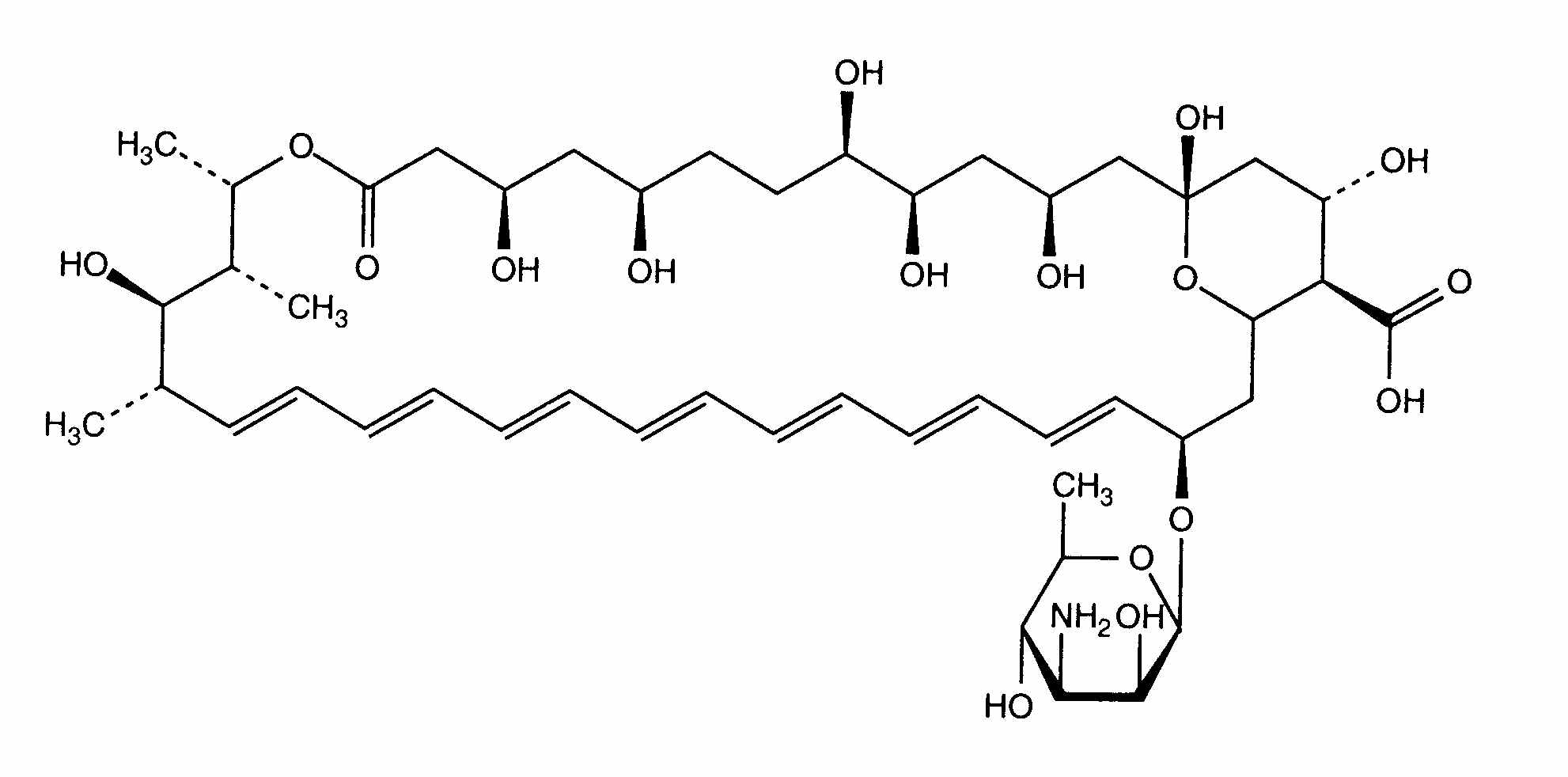
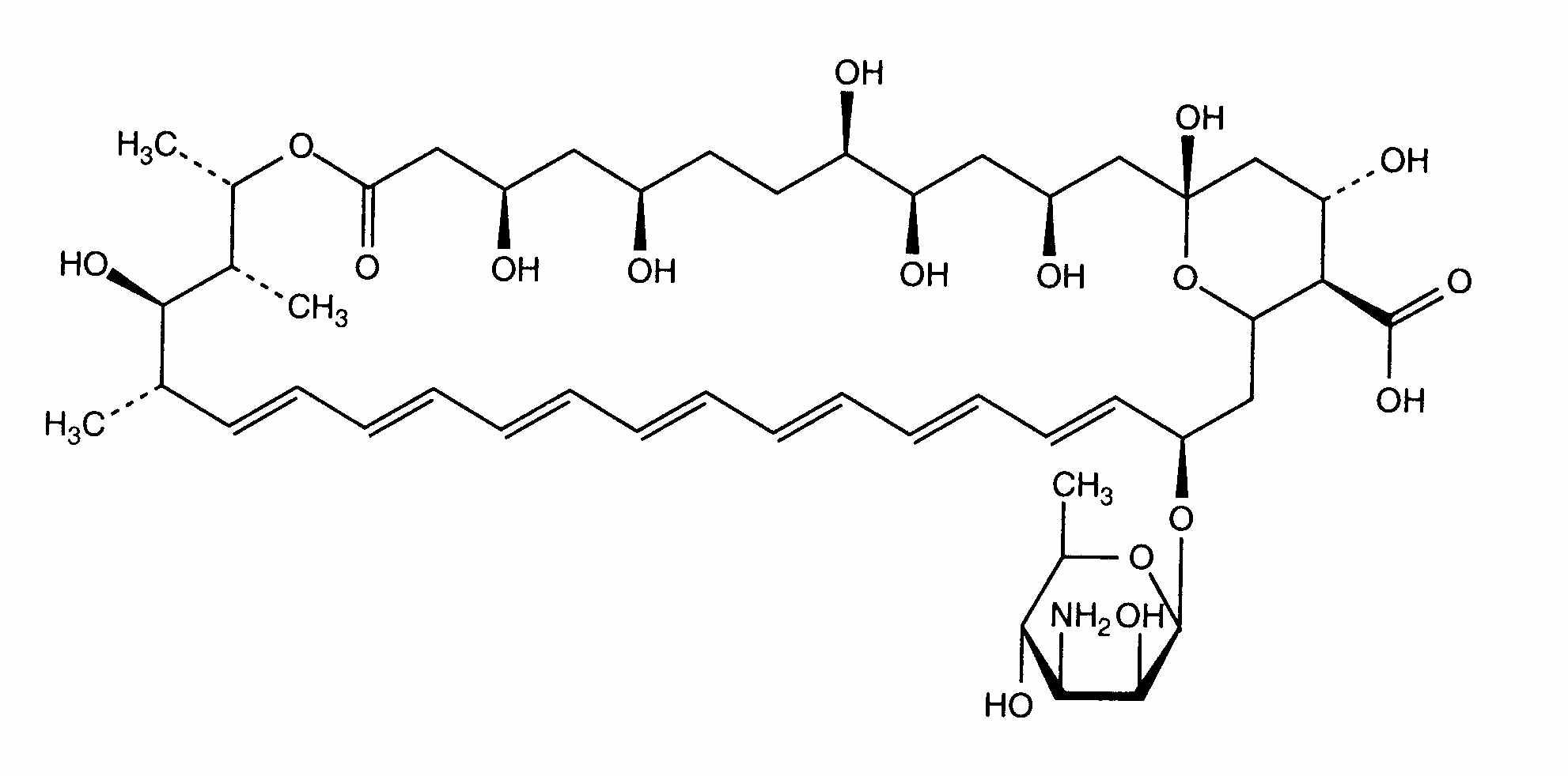
   Struttura chimica  

Collutorio
Bibliografia   Collutorio   Bibliografia : Amphotericin B  
tipo pubblicazione
2820 Rivista Groeschke J, Solassol I, Bressolle F, Pinguet F.
Stability of amphotericin B and nystatin in antifungal mouthrinses containing sodium hydrogen carbonate
J Pharm Biomed Anal 2006 ; 42: 362-366.

  Mentions Légales