Letztes “update” :
27/04/2026
Antifungoid   Amphotericin B  
Mundspüllösung
Aerosol Augentropfen Injektion Lösung zum Einnehmen
Stabilität von pharmazeutischen Präparaten Gemengestabilität Stabilitätbeeinflussende Faktoren Kompatibilitäten Literaturverzeichnis pdf
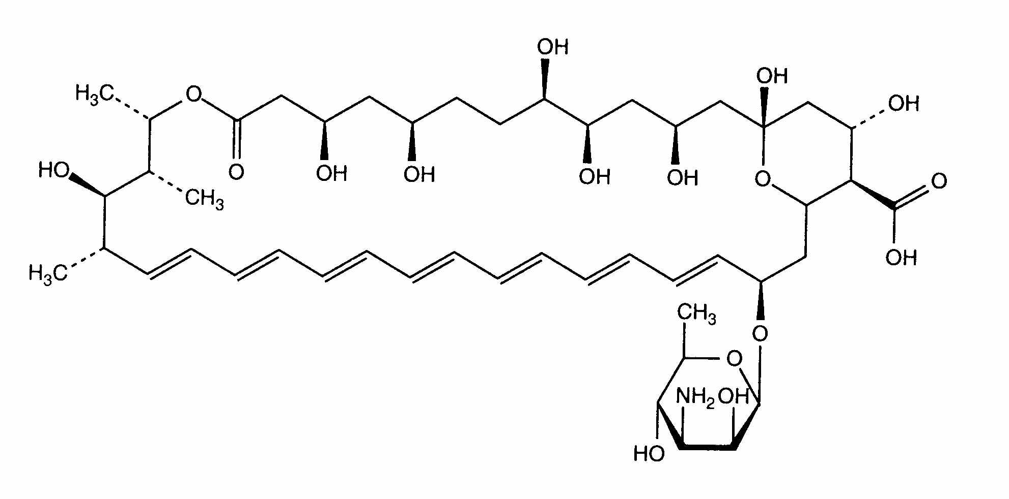
   Chemische Struktur  

Mundspüllösung
Literaturverzeichnis   Mundspüllösung   Literaturverzeichnis : Amphotericin B  
Typ Veröffentlichung
2820 Zeitung Groeschke J, Solassol I, Bressolle F, Pinguet F.
Stability of amphotericin B and nystatin in antifungal mouthrinses containing sodium hydrogen carbonate
J Pharm Biomed Anal 2006 ; 42: 362-366.

  Mentions Légales