Poslední aktualizace :
27/04/2026
Priešgrybelinis vaistas   Amphotericin B  
Skystis burnai skalauti
Aerozolis Akių lašai Geriamas tirpalas Įpurškimas
Stabilumas farmacinių preparatų Mišinių stabilumas Stabilumą lemiantys veiksniai Suderinamumas Bibliografija pdf
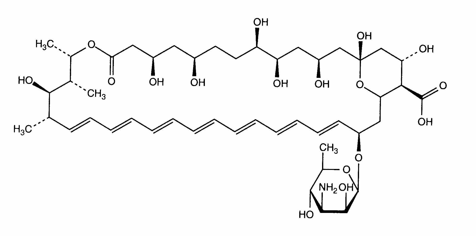
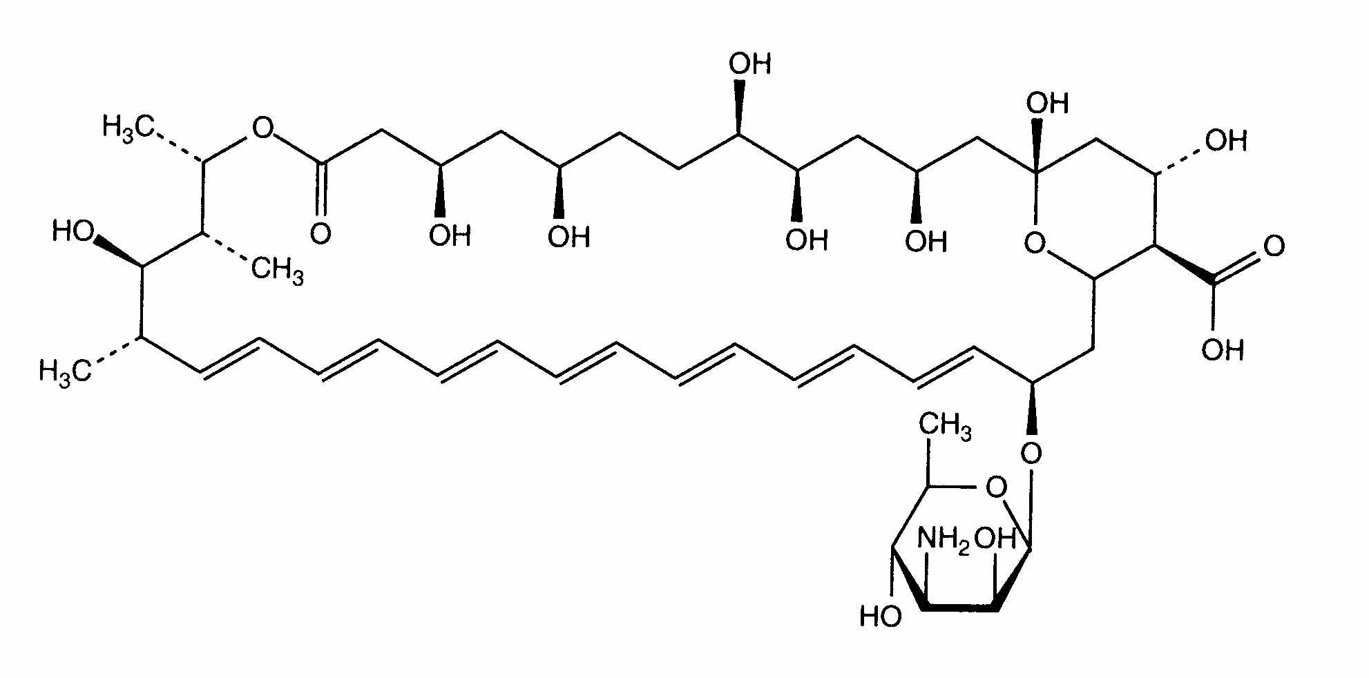
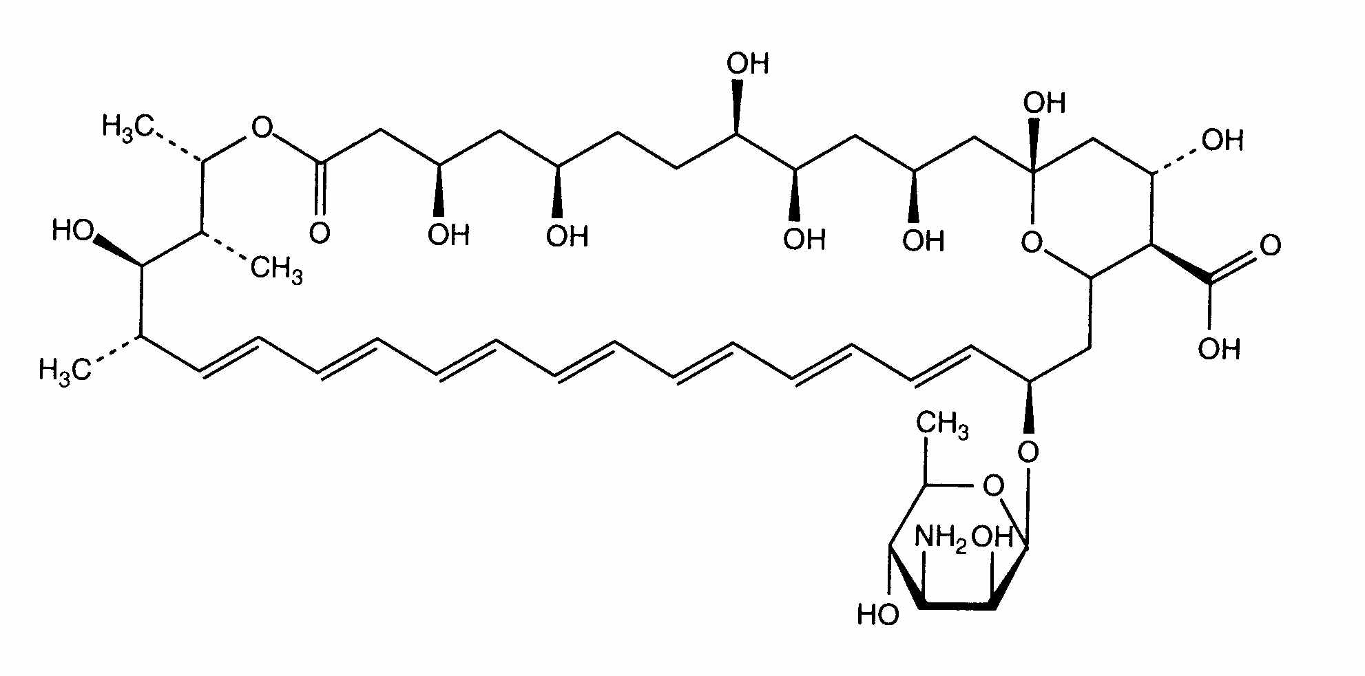
   Cheminė sandara  

Skystis burnai skalauti
Bibliografija   Skystis burnai skalauti   Bibliografija : Amphotericin B  
tipas leidinys
2820 Žurnalas Groeschke J, Solassol I, Bressolle F, Pinguet F.
Stability of amphotericin B and nystatin in antifungal mouthrinses containing sodium hydrogen carbonate
J Pharm Biomed Anal 2006 ; 42: 362-366.

  Mentions Légales