Senaste uppdateringen :
27/04/2026
Antimykotikum   Amphotericin B  
Aerosol
injektion Munvatten ögondroppar Oral lösning
Stabilitet av läkemedel Stabilitet i blandningar Faktorer som påverkar stabiliteten Kompatibilitet Hänvisningar pdf
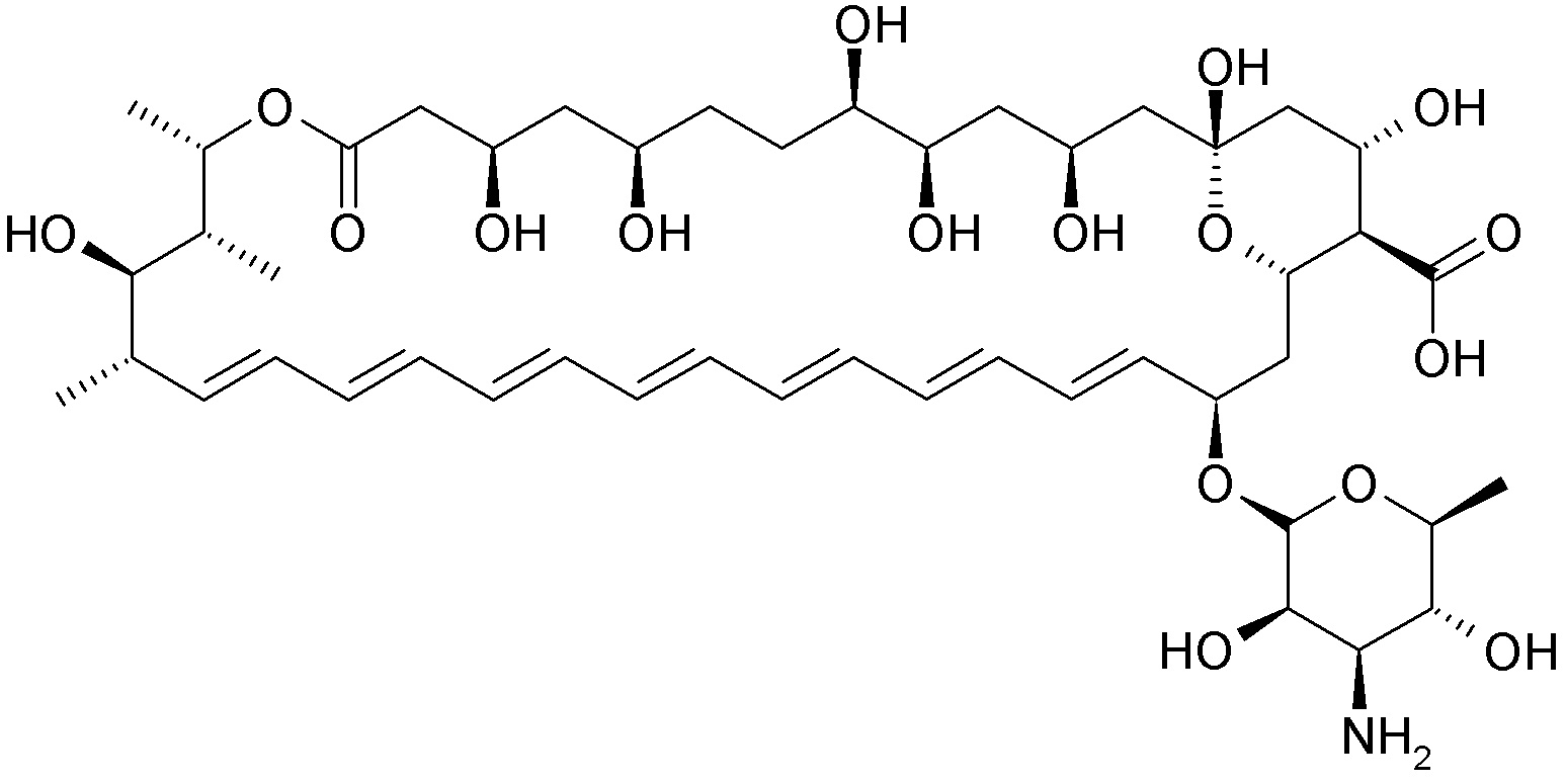
   Molekylstruktur  

Aerosol

Faktorer som påverkar stabiliteten   Aerosol   Faktorer som påverkar stabiliteten : Amphotericin B        
Ingen uppgift

  Mentions Légales