Last update :
27/04/2026
Antifungal   Amphotericin B  
aerosol
Eye-drops injection Mouthwash Oral solution
Stability of pharmaceutical preparations Stability of mixtures Factors which affect stability Compatibility References pdf
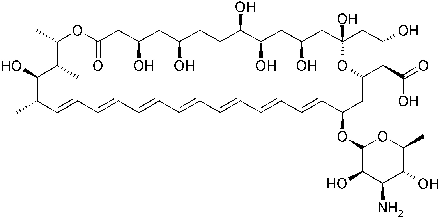
   Chemical structure  

aerosol

Factors which affect stability   aerosol   Factors which affect stability : Amphotericin B        
No data

  Mentions Légales