Ultimo aggiornamento :
27/04/2026
Antimicotico   Amphotericin B  
Aerosol
Collirio Collutorio Iniezione Soluzione orale
Stabilità dei preparati farmaceutici Stabilità in miscela Fattori che influenzano la stabilità Compatibilità Bibliografia pdf
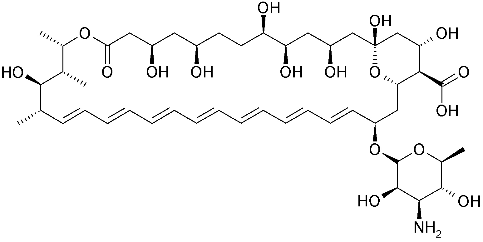
   Struttura chimica  

Aerosol

Fattori che influenzano la stabilità   Aerosol   Fattori che influenzano la stabilità : Amphotericin B        
Assenza di dati

  Mentions Légales