Последнее обновление :
27/04/2026
Противогрибковое средство   Amphotericin B  
Аэрозоль
Глазные капли Инъекция Ополаскиватель для полости рта Раствор для перорального приёма
Стабильность фармацевтических препаратов Стабильность смесей Факторы, которые влияют на стабильность Совместимость Библиография pdf
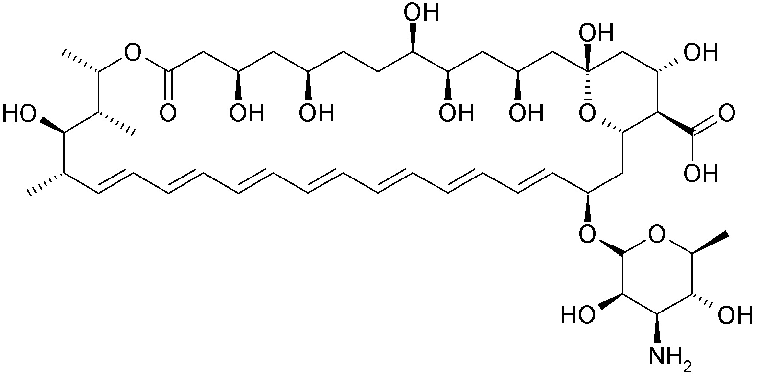
   Химическая структура  

Аэрозоль

Факторы, которые влияют на стабильность   Аэрозоль   Факторы, которые влияют на стабильность : Amphotericin B        
данных нет

  Mentions Légales