Poslední aktualizace :
27/04/2026
Priešgrybelinis vaistas   Amphotericin B  
Aerozolis
Akių lašai Geriamas tirpalas Įpurškimas Skystis burnai skalauti
Stabilumas farmacinių preparatų Mišinių stabilumas Stabilumą lemiantys veiksniai Suderinamumas Bibliografija pdf
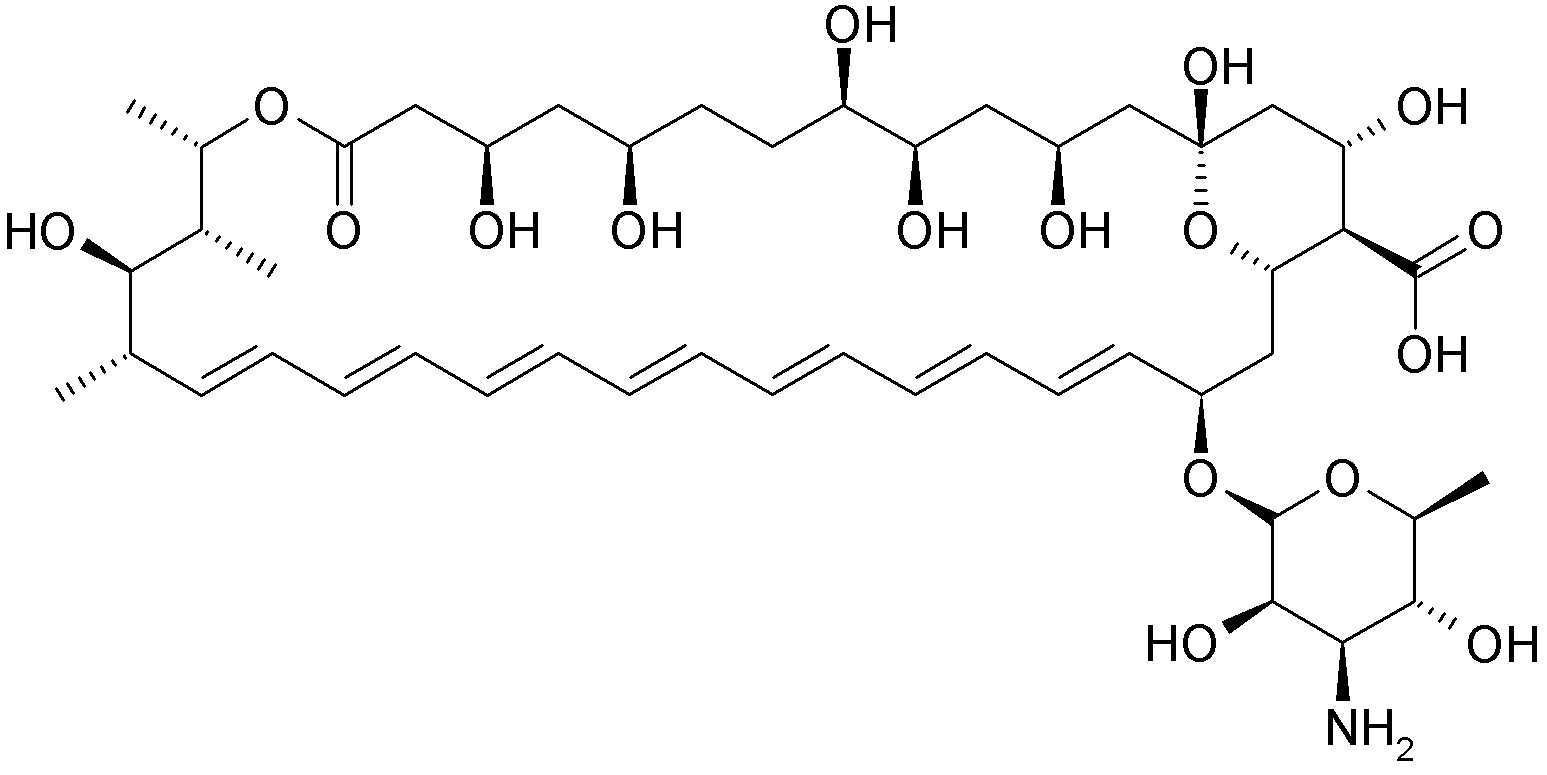
   Cheminė sandara  

Aerozolis

Stabilumą lemiantys veiksniai   Aerozolis   Stabilumą lemiantys veiksniai : Amphotericin B        
Nėra duomenų

  Mentions Légales