Letztes “update” :
27/04/2026
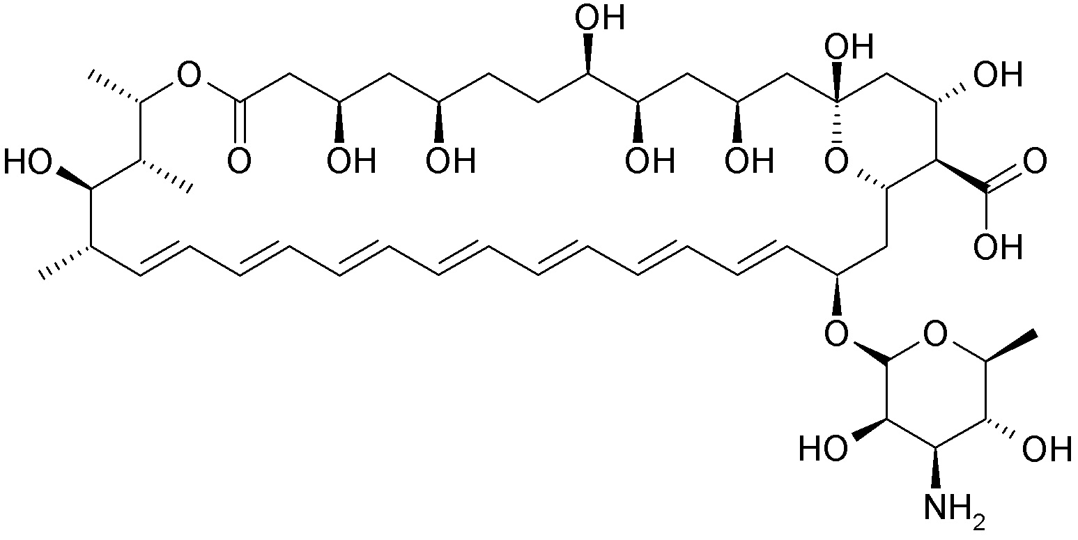
Antifungoid   Amphotericin B  
Aerosol
Augentropfen Injektion Lösung zum Einnehmen Mundspüllösung
Stabilität von pharmazeutischen Präparaten Gemengestabilität Stabilitätbeeinflussende Faktoren Kompatibilitäten Literaturverzeichnis pdf
   Chemische Struktur  

Aerosol

Stabilitätbeeinflussende Faktoren   Aerosol   Stabilitätbeeinflussende Faktoren : Amphotericin B        
Keine Daten

  Mentions Légales