Son güncelleme :
27/01/2026
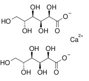
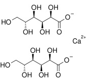
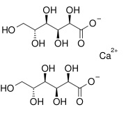
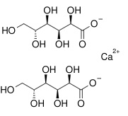
elektrolit   Calcium gluconate  
Merhem
Enjeksiyon
Farmasötik preparatlar Kararlılığı Karışımlardaki stabilitesi Stabiliteyi etkileyen faktörler Uyumluluk Kaynaklar pdf
   Kimyasal yapı   

Merhem
Karışımlardaki stabilitesi   Merhem   Karışımlardaki stabilitesi : Calcium gluconate     
veri yok

  Mentions Légales