Seneste opdatering :
27/01/2026
Elektrolyt   Calcium gluconate  
Salver
Injektion
Stabilitet af farmaceutiske tilberedninger Stabilitet i blandinger Faktorer der påvirker stabiliteten Kompatibilitet Bibliografi pdf
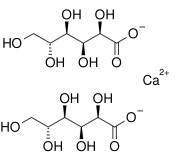
   Kemisk struktur  

Salver
Stabilitet i blandinger   Salver   Stabilitet i blandinger : Calcium gluconate     
Ingen data

  Mentions Légales