Poslední aktualizace :
27/01/2026
elektrolyt   Calcium gluconate  
Masti
injekce
Stabilita farmaceutických přípravků Stabilita směsí Faktory ovlivňující stabilitu Kompatibilita Odkazy pdf
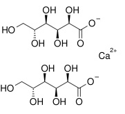
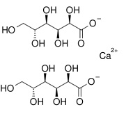
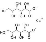
   Chemický vzorec  

Masti
Stabilita směsí   Masti   Stabilita směsí : Calcium gluconate     
žádná data

  Mentions Légales