最新更新 :
27/01/2026
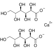
電解質   Calcium gluconate  
軟膏薬
注射薬
調剤時の安定性 混合時の安定性 安定性に影響する因子 互換性 引用文献 PDF
   化学構造  

軟膏薬
混合時の安定性   軟膏薬   混合時の安定性 : Calcium gluconate     
データなし

  Mentions Légales