zadnja posodobitev :
27/01/2026
elektrolit   Calcium gluconate  
Mazila
Brizgalka
Stabilnost farmacevtskih preparatov Stabilnost mešanice Faktorji, ki vplivajo na stabilnost Kompatibilnost Viri pdf
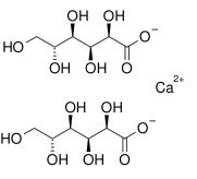
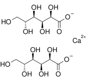
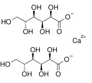
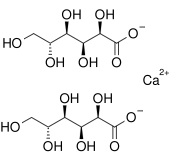
   Kemična formula  

Mazila
Stabilnost mešanice   Mazila   Stabilnost mešanice : Calcium gluconate     
ni podatka

  Mentions Légales