Letztes “update” :
27/01/2026
Infostab
Molekülverzeichnis
Zusammenfassende Listen
Suche nach kompatibilitäten
Y-Kompatibilitätstabelle
Literaturverzeichnis
Forschungsgruppen
valistab
Poster
Links
Sponsoren
Autoren
Hinweise fûr den Benutzer
Newsletter
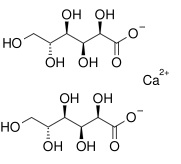
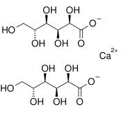
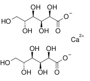
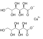
Calcium gluconate
Chemische Struktur
Gemengestabilität : Calcium gluconate
Keine Daten
Mentions Légales