آخر تحديث :
27/01/2026
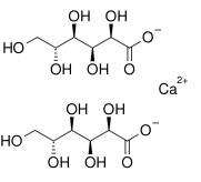
المنحل بالكهرباء   Calcium gluconate  
المراهم
حقن
استقرار المستحضرات الصيدلانية استقرار مخاليط العوامل التي تؤثر على الاستقرار التوافق مراجع pdf
   التركيب الكيميائي  

المراهم
استقرار مخاليط   المراهم   استقرار مخاليط : Calcium gluconate     
لا توجد بيانات

  Mentions Légales