Utolsó frissítés :
27/01/2026
elektrolit   Calcium gluconate  
kenőcs
Injekció
Stabilitása gyógyszerészeti készítmények A keverékek stabilitása Stabilitást befolyásoló tényezők Kompatibilitás Irodalom pdf
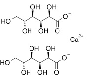
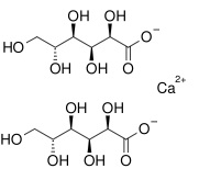
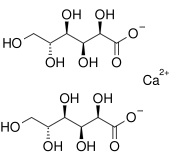
   Kémiai szerkezet   

kenőcs
A keverékek stabilitása   kenőcs   A keverékek stabilitása : Calcium gluconate     
Hiányzó adat

  Mentions Légales