Última actualización :
27/04/2026
Antibiótico   Amoxicillin sodium / clavulanic acid  
Solución Oral
Inyectables
La estabilidad de las preparaciones farmacéuticas Estabilidad en mezcla Factores que influyen sobre la estabilidad Compatibilidades Bibliografía pdf
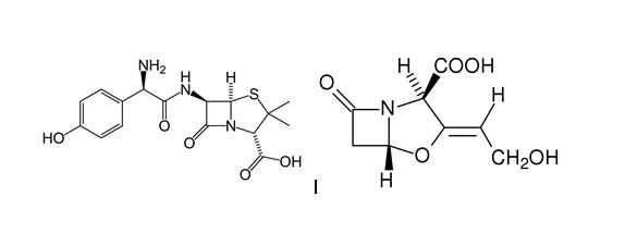
   Estructura química  

Solución Oral
La estabilidad de las preparaciones farmacéuticas   Solución Oral   La estabilidad de las preparaciones farmacéuticas : Amoxicillin sodium / clavulanic acid     
Envase Origine Excipiente Temperatura Conservación Duración de la estabilidad Bibliografía
Botella de plástico Polvo 125/31,25 mg
Augmentin®
Agua purificada 134 mL
25°C No precisada
7 Día
2508

Botella de plástico Polvo 250/62,5 mg
Augmentin®
Agua purificada 130 mL
25°C No precisada
7 Día
2508

Botella de plástico Polvo 125/31,25 mg
Augmentin®
Agua purificada 134 mL
5°C No precisada
10 Día
2508

Botella de plástico Polvo 250/62,5 mg
Augmentin®
Agua purificada 130 mL
5°C No precisada
10 Día
2508

No precisado Polvo 5 g/1.25 g
Augmentin®
Agua destilada >> 100 ml
8°C No precisada
7 Día
2951


  Mentions Légales