Posledná aktualizácia :
27/04/2026
antibiotikum   Amoxicillin sodium / clavulanic acid  
Perorálny roztok
Injekcia
Stabilita farmaceutických prípravkov Stabilita v zmesiach Faktory ovplyvňujúce stabilitu Kompatibility Odkazy na literatúru PDF
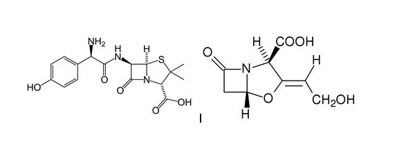
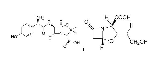
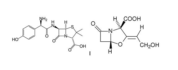
   Chemický vzorec  

Perorálny roztok
Stabilita farmaceutických prípravkov   Perorálny roztok   Stabilita farmaceutických prípravkov : Amoxicillin sodium / clavulanic acid     
obal Pôvod Pomocná látka teplota uchovávanie Trvanie stability odkazy na lieteratúru
Plastová fľaša Prášok 125/31,25 mg
Augmentin®
Čistená voda 134 mL
25°C nešpecifikované
7 dní
2508

Plastová fľaša Prášok 250/62,5 mg
Augmentin®
Čistená voda 130 mL
25°C nešpecifikované
7 dní
2508

Plastová fľaša Prášok 125/31,25 mg
Augmentin®
Čistená voda 134 mL
5°C nešpecifikované
10 dní
2508

Plastová fľaša Prášok 250/62,5 mg
Augmentin®
Čistená voda 130 mL
5°C nešpecifikované
10 dní
2508

nešpecifikované Prášok 5 g/1.25 g
Augmentin®
Destilovaná voda >> 100 ml
8°C nešpecifikované
7 dní
2951


  Mentions Légales