Ultimele actualizari :
27/01/2026
Antibiotic   Amoxicillin sodium / clavulanic acid  
Soluţie orală
Injectabil
Stabilitatea preparatelor farmaceutice Stabilitatea in amestec Factorii care influenteaza stabilitatea Compatibilitate Bibliografie pdf
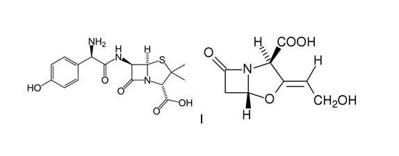
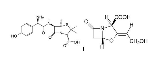
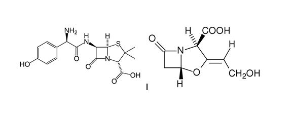
   Formula chimica  

Soluţie orală
Stabilitatea preparatelor farmaceutice   Soluţie orală   Stabilitatea preparatelor farmaceutice : Amoxicillin sodium / clavulanic acid     
Continut Origine Excipient Temperatura Conservare Durata stabilității Bibiografie
Sticla din plastic praf 125/31,25 mg
Augmentin®
Apă purificată 134 mL
25°C Neprecizat
7 Ziua
2508

Sticla din plastic praf 250/62,5 mg
Augmentin®
Apă purificată 130 mL
25°C Neprecizat
7 Ziua
2508

Sticla din plastic praf 125/31,25 mg
Augmentin®
Apă purificată 134 mL
5°C Neprecizat
10 Ziua
2508

Sticla din plastic praf 250/62,5 mg
Augmentin®
Apă purificată 130 mL
5°C Neprecizat
10 Ziua
2508

neprecizat praf 5 g/1.25 g
Augmentin®
apă distilată >> 100 ml
8°C Neprecizat
7 Ziua
2951


  Mentions Légales